chevron_left
chevron_right
Todo
Apuntes
Ejercicios
Exámenes
Prácticas
chevron_left
chevron_right

practicas

-

Guías de Prácticas

Guías que podrán orientar en la realización de las prácticas de Estadística, incluye guía de como usar Statgraphics

Guia-estadistica-Practicas.pdf
Guia-Statgraphics.pdf
Anónimo

@Anónimo

examenes

-

Junio 2021

He publicado nuevos examenes de 1º Estadística: Junio 2021

Estadistica-1.pdf
Estadistica-2.pdf

He publicado nuevos apuntes de 1º Estadística: Practica-3.pdf

2 páginas

practicas

-

Guión de prácticas

He publicado nuevos practicas de 1º Estadística: Guión de prácticas

Guion-practicas-Estadistica.docx

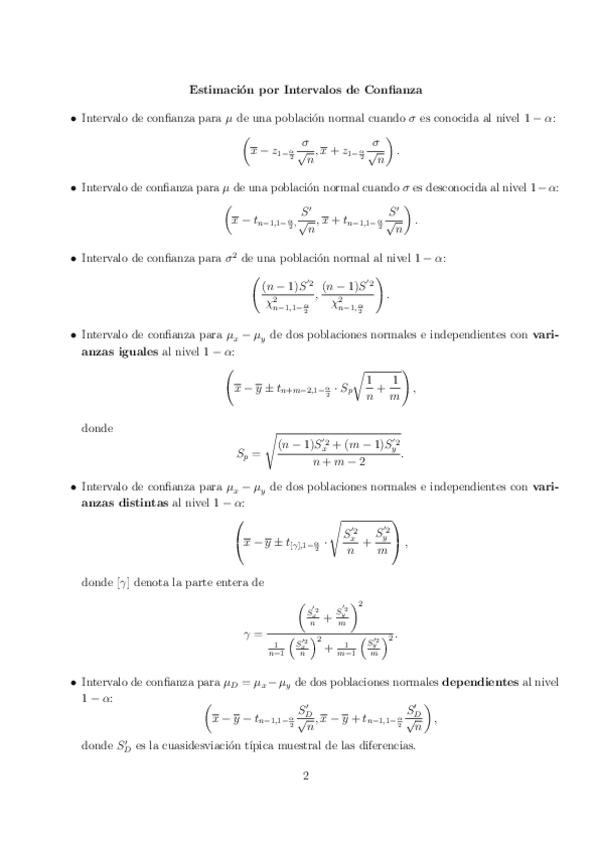
He publicado nuevos apuntes de 1º Estadística: formularioIRENE.pdf

7 páginas

ejercicios

-

Relaciones de problemas

He publicado nuevos ejercicios de 1º Estadística: Relaciones de problemas

EstadisticaR62017.pdf
Relaciongeneral2017.pdf
EstadisticaR42017.pdf
R21617.pdf
R316172.pdf
R11617.pdf

He publicado nuevos apuntes de 1º Estadística: Formulario.pdf

7 páginas

He publicado nuevos apuntes de 1º Estadística: tablas-distribuciones.pdf

27 páginas
¡Estás al día!

¡Estás al día!

Has visto todos los archivos