Grado en Ingeniería Eléctrica (UJAEN)
Jaén
Asignaturas de Grado en Ingeniería Eléctrica (UJAEN)
Asignatura
arrow_downward1º
•
4 posts
2º
•
6 posts
2º
•
4 posts
4º
•
0 posts
4º
•
7 posts
4º
•
1 posts
2º
•
7 posts
3º
•
8 posts
1º
•
7 posts
4º
•
0 posts
2º
•
9 posts
2º
•
14 posts
1º
•
8 posts
1º
•
12 posts
1º
•
16 posts
1º
•
5 posts
2º
•
6 posts
3º
•
7 posts
1º
•
1 posts
1º
•
12 posts
2º
•
1 posts
2º
•
5 posts
3º
•
9 posts
3º
•
8 posts
4º
•
0 posts
3º
•
22 posts
3º
•
10 posts
1º
•
4 posts
1º
•
4 posts
4º
•
0 posts
2º
•
4 posts
2º
•
5 posts
4º
•
0 posts
4º
•
0 posts
4º
•
2 posts
4º
•
5 posts
3º
•
22 posts
4º
•
18 posts
4º
•
0 posts
4º
•
0 posts
4º
•
0 posts
4º
•
0 posts
Últimas publicaciones de Grado en Ingeniería Eléctrica (UJAEN)
examenes
-
Exámenes
Exámen de la ordinaria 2025
examenes
-
Exámenes
Exámenes de los ultimos 15 años
practicas
-
Prácticas
Prácticas curso 24-25
He publicado nuevos trabajos de 3º Instalaciones Eléctricas de Baja Tensión: Tema-8-PRACTICA-LUXOMETRO.pdf
apuntes
-
Prácticas
Prácticas aprobadas, ve a las practicas que solo con ir están aprobadas
practicas
-
Prácticas
Prácticas aprobadas
apuntes
-
Prácticas
He publicado nuevos apuntes de 2º Ingeniería Térmica: Prácticas
practicas
-
Todas las Prácticas
Prácticas interactivas de regulación automática
apuntes
-
Apuntes importantes
Apuntes de definiciones químicas y materiales de laboratorio
practicas
-
Prácticas MEI
Todas las prácticas de Máquinas Eléctricas I
practicas
-
Ejs_CANECO
He publicado nuevos practicas de 3º Instalaciones Eléctricas de Baja Tensión: Ejs_CANECO
He publicado nuevos practicas de 2º Ingenieria de Fabricación: Practica-CNC.pdf
He publicado nuevos practicas de 2º Fundamentos de Electrónica: Practicas-Electronica.pdf
practicas
-
Guías de Prácticas
Guías que podrán orientar en la realización de las prácticas de Estadística, incluye guía de como usar Statgraphics
practicas
-
Prácticas
He publicado nuevos practicas de 2º Electrotecnia: Prácticas
ejercicios
-
Actividades propuestas
He publicado nuevos ejercicios de 2º Electrotecnia: Actividades propuestas
practicas
-
Prácticas
He publicado nuevos practicas de 2º Elasticidad y Resistencia de Materiales: Prácticas
practicas
-
Prácticas Materiales
He publicado nuevos practicas de 2º Ciencia e Ingeniería de Materiales: Prácticas Materiales
apuntes
-
ADE Completo
Preguntas tipo test no oficial y teoría de ADE resumida
examenes
-
Examenes
He publicado nuevos examenes de 3º Regulación Automática: Examenes
apuntes
-
Apuntes completos RA
Apuntes del curso completo de regulación automática
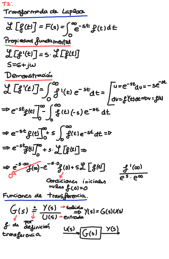
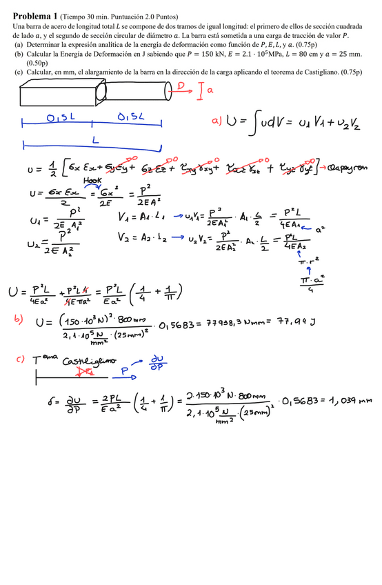
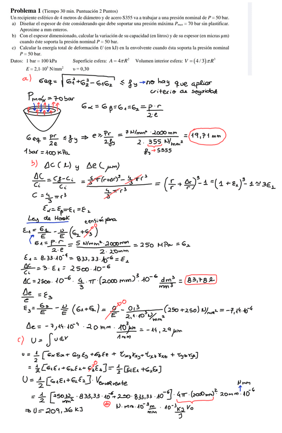
Ejercicios de Elasticidad y resistencia de materiales tanto de relaciones como de examenes
He publicado nuevos apuntes de 3º ACCIONAMIENTOS ELÉCTRICOS Y ELECTRÓNICA DE POTENCIA: Temario-Electronica-de-Potencia.pdf
examenes
-
Ejs_examenes
He publicado nuevos examenes de 2º Elasticidad y Resistencia de Materiales: Ejs_examenes
ejercicios
-
Ejs_propuestos
He publicado nuevos ejercicios de 3º Instalaciones Eléctricas de Baja Tensión: Ejs_propuestos
