Todo
Apuntes
Ejercicios
Otros
publication
chevron_left
chevron_right

CURSOS ESPECIALES 2º CUATRIMESTRE UFV

Ya disponibles los cursos para Farmacia y Biotec! Orgánica I - Inorgánica - Técnicas Instrumentales - Bioestadística - Ingeniería Bioquímica - Termodinámica y Cinética Más información y reserva de plaza 915492048 // 642488968 Clases online y presenciales, grupos exclusivos UFV eUniversitas - ACADEMIA FERRAZ -

apuntes

-

Apuntes estadística

He publicado nuevos apuntes de 1º Estadística: Apuntes estadística

CamScanner-8-10-25-12.27.pdf

He publicado nuevos apuntes de 1º Estadística: Resumen-todo.pdf

2 páginas

He publicado nuevos apuntes de 1º Estadística: Bloque-1-estadistica.pdf

2 páginas

He publicado nuevos apuntes de 1º Estadística: 2.2-estadistica.pdf

4 páginas

He publicado nuevos ejercicios de 1º Estadística: Tarea-1.pdf

2 páginas

He publicado nuevos apuntes de 1º Estadística: APUNTES-ESTADISTICA.pdf

33 páginas

He publicado nuevos apuntes de 1º Estadística: Hoja-5-estadistica.jpg

Imagen

He publicado nuevos apuntes de 1º Estadística: HOJA-2-ESTADISTICA.jpg

Imagen

He publicado nuevos apuntes de 1º Estadística: HOJA-1-ESTADISTICA.jpg

Imagen

He publicado nuevos apuntes de 1º Estadística: HOJA-4-ESTADISTICA.jpg

Imagen

ejercicios

-

EJERCICIOS

He publicado nuevos ejercicios de 1º Estadística: EJERCICIOS

BLOQUE-I-introduccion.pdf
EJERCICIOS-1.2.pdf
EJERCICIOS-2.1.pdf
EJERCICIOS-2.2.pdf
EJERCICIOS-3.1.pdf
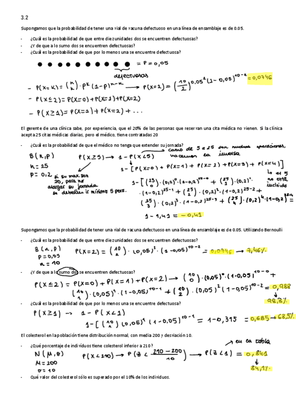
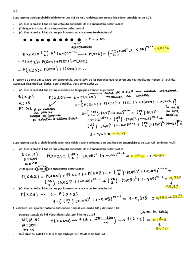
EJERCICIOS-3.2.pdf

apuntes

-

TEORÍA + FÓRMULAS EXPLICADAS BLOQUE I

He publicado nuevos apuntes de 1º Estadística: TEORÍA + FÓRMULAS EXPLICADAS BLOQUE I

Bloque 1. Análisis descriptivo de un conjunto de datos.pdf
Bloque 2. Estadística bivariante y estimación lineal.pdf

apuntes

-

APUNTES

He publicado nuevos apuntes de 1º Estadística: APUNTES

BLOQUE-I-introduccion.pdf
BLOQUE-II-Estadistica-Descriptiva-Bivariante-y-Estimacion-lineal-2.1.pdf
BLOQUE-II-Tablas-bivariadas-Cualitativas-2.2.pdf

otros

-

FÓRMULAS EXAMEN ESTADÍSTICA

Todas las fórmulas necesarias para el examen separadas por bloques y explicación de todas ellas y resultados

BLOQUE-I.-INTRODUCCION-A-LA-ESTADISTICA.pdf

ejercicios

-

ENTREGAS ESTADÍSTICA

TODAS LAS ENTREGAS DURANTE EL CURSO

ENTREGA-BLOQUE-I-1.2-ESTADISTICA.pdf
ENTREGA-BLOQUE-II-2.1-ESTADISTICA.pdf
ENTREGA-BLOQUE-II-2.2-ESTADISTICA.pdf
ENTREGA-BLOQUE-III-.-ESTADISTICA.pdf

He publicado nuevos ejercicios de 1º Estadística: ENTREGA BLOQUE I (1.1). ESTADISTICA.pdf

1 página

Apuntes sobre el programa R que se utiliza en estadística y pregunta sobre ello en el examen

5 páginas

He publicado nuevos apuntes de 1º Estadística: BLOQUE-3--INFERENCIA.pdf

12 páginas

He publicado nuevos apuntes de 1º Estadística: BLOQUE-2--PROBABILIDAD.pdf

11 páginas
Anónimo

@Anónimo

He publicado nuevos apuntes de 1º Estadística: TEMA-4-REPRESENTACION-EN-GRAFICAS.pdf

4 páginas
Anónimo

@Anónimo

He publicado nuevos apuntes de 1º Estadística: TEMA-3-INTERVALOS.pdf

3 páginas
Anónimo

@Anónimo

He publicado nuevos apuntes de 1º Estadística: TEMA-2-FRECUENCIAS.pdf

1 página

He publicado nuevos apuntes de 1º Estadística: TEMA-1-MUESTREO-Y-VARIABLES.pdf

2 páginas

He publicado nuevos apuntes de 1º Estadística: PROBABILIDAD.pdf

14 páginas

He publicado nuevos apuntes de 1º Estadística: Inferencia.pdf

16 páginas

He publicado nuevos apuntes de 1º Estadística: Estadistica-descriptiva-.pdf

56 páginas

He publicado nuevos apuntes de 1º Estadística: TRABAJO-ESTADISTICA.pdf

7 páginas
Anónimo

@Anónimo

apuntes

-

PROBABILIDAD

He publicado nuevos apuntes de 1º Estadística: PROBABILIDAD

TEMA-5-DISTRIBUCIONES-DE-VARIABLES-ALEATORIAS-DISCRETAS.pdf
TEMA-3-TEOREMA-DE-BAYES-Y-APLICACIONES-DE-PROBABILIDAD.pdf
TEMA-7-DISTRIBUCIONES-DE-VARIABLES-ALEATORIAS-CONTINUAS.pdf
TEMA-4-APLICACIONES-DEL-CALCULO-DE-PROBABILIDADES-A-LA-CIENCIA-DE-LA-SALUD.pdf
TEMA-2-PROBABILIDAD-CONDICIONADA-SUCESOS-INDEPENDIENTES.pdf
TEMA-6-DISTRIBUCIONES-DE-VARIABLES-ALEATORIAS-DISCRETAS-II.pdf
Anónimo

@Anónimo

apuntes

-

Descriptiva

He publicado nuevos apuntes de 1º Estadística: Descriptiva

1-Muestreo.pdf
3-Intevalos.pdf
4-Representacion-grafica.pdf
6-y-7-Medidas.pdf
2-Frecuencias.pdf
14-Correlacion-II.pdf

He publicado nuevos apuntes de 1º Estadística: Estadistica-Descriptiva.pdf

17 páginas
¡Estás al día!

¡Estás al día!

Has visto todos los archivos