Todo
Apuntes
Ejercicios
Exámenes
chevron_left
chevron_right

He publicado nuevos apuntes de 1º Estadística: Tema-6-Estadistica.png

Imagen

Aplicado a su uso a excel

word

He publicado nuevos apuntes de 1º Estadística: Tema-4-Estadistica.odt

word

He publicado nuevos apuntes de 1º Estadística: Tema-3-estadistica.odt

word

Apuntes aplicados al Excel.

word

Aplicación en excel

Imagen

He publicado nuevos apuntes de 1º Estadística: APUNTES-EXAMEN-ESTADISTICA-CON-PASOS-EN-EXCEL-Y-EJEMPLOS.pdf

7 páginas

He publicado nuevos ejercicios de 1º Estadística: Ejemplo-autobiografia-personalidad-psicopatica.pdf

4 páginas

He publicado nuevos examenes de 1º Estadística: Examen-estadistica.pdf

2 páginas

apuntes

-

Estadística (Teoría y Excel)

He publicado nuevos apuntes de 1º Estadística: Estadística (Teoría y Excel)

Estadistica-Excel.pdf
Estadistica-Teoria.pdf

He publicado nuevos examenes de 1º Estadística: Dades-Examen.xlsx

excel

He publicado nuevos examenes de 1º Estadística: Examen-2014-Solucions.xlsx

excel

He publicado nuevos examenes de 1º Estadística: Dades-Examen-2014.xlsx

excel

apuntes

-

Estadística

He publicado nuevos apuntes de 1º Estadística: Estadística

FORMULARIO-UNA-MUESTRA.pdf
FORMULARIO-REGRESION-LINEAL.pdf
FORMULARIO-2-O-MAS-MUESTRAS-INDEPENDIENTES.pdf
FORMULARIO-ANALISIS-DE-DATOS-CATEGORICOS.pdf
FORMULARIO-DOS-MUESTRAS.pdf
FORMULARIO-TABLAS-DE-CONTINGENCIA-2X2.pdf

He publicado nuevos apuntes de 1º Estadística: resumen-curso-formula-y-procedimientos.pdf

14 páginas

apuntes

-

Estadística 1º crimi

He publicado nuevos apuntes de 1º Estadística: Estadística 1º crimi

PASOS-EXCEL.pdf
Tema-6.-Analisis-de-datos-categoricos.pdf
Resumen-curso.pdf

apuntes

-

Estadística - Teoría Excel y ejercicios

He publicado nuevos apuntes de 1º Estadística: Estadística - Teoría Excel y ejercicios

Apuntes-Estadistica-Teoria.pdf
Apuntes-Estadistica-Excel.pdf
Esquemas-ejercicios.pdf
Examen CA Enero 2022 (2021-2022).pdf
Examen CA Enero 2022 (2021-2022).xlsx

He publicado nuevos examenes de 1º Estadística: Examen-2023.pdf

1 página

He publicado nuevos ejercicios de 1º Estadística: 3-Enunciado-Exercicis-Normal-i-Binomial-amb-Excel.pdf

1 página

He publicado nuevos examenes de 1º Estadística: Examen-2023.pdf

1 página

He publicado nuevos apuntes de 1º Estadística: Ejercicios-tema-3-distribucion-binomial.xlsx

excel

He publicado nuevos apuntes de 1º Estadística: Ejercicios-tema-3-distribucion-normal.xlsx

excel

He publicado nuevos apuntes de 1º Estadística: Ejercicios-tema-2.xlsx

excel

ejercicios explicados paso a paso

excel

He publicado nuevos apuntes de 1º Estadística: Enunciado-Examen-Castellano-enero-2023.pdf

1 página

apuntes

-

Pasos ejercicios

Profesora- Mª Jovaní Palau

Ejercicio-tema-1.pdf
Ejercicio-tema-1.pdf
Ejercicio-tema-3.pdf
Ejercicio-tema-2.pdf
Ejercicio-tema-2.pdf
Ejercicio-tema-3.pdf

apuntes

-

Estadística

He publicado nuevos apuntes de 1º Estadística: Estadística

Tema-4-teoria.pdf
TEMA-4-problemas.pdf
TEMA-6-problemas.pdf
Tema-6-teoria.pdf
TEMA-5-problemas.pdf
Tema-5-teoria.pdf

apuntes

-

APUNTES EXPLICADOS PASO A PASO

He publicado nuevos apuntes de 1º Estadística: APUNTES EXPLICADOS PASO A PASO

TEMA-6-BONDAD-DE-AJUSTE.pdf
TEMA-5-i.pdf
TEMA-6-2.pdf
TEMA-6-TEST-DE-INDEPENDENCIA-UNIDIRECCIONAL.pdf
TEMA-3-.pdf
TEMA-6.pdf

He publicado nuevos apuntes de 1º Estadística: TEMA-6 Estadística.pdf

6 páginas

He publicado nuevos apuntes de 1º Estadística: TEMA-5 Estadística.pdf

3 páginas

He publicado nuevos apuntes de 1º Estadística: TEMA-4 Estadística.pdf

6 páginas

He publicado nuevos apuntes de 1º Estadística: TEMA-3 Estadística.pdf

7 páginas

He publicado nuevos apuntes de 1º Estadística: TEMA-2 Estadística.pdf

5 páginas

He publicado nuevos apuntes de 1º Estadística: ESTADISTICA.pdf

11 páginas

apuntes

-

ESTADÍSTICA

He publicado nuevos apuntes de 1º Estadística: ESTADÍSTICA

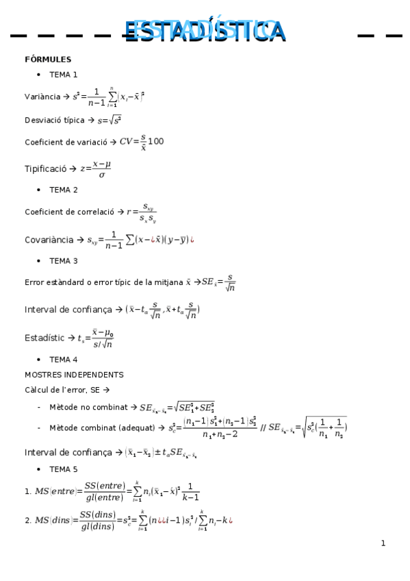
FORMULAS.pdf
TEMA-4.pdf
TEMA-2.docx
TEMA-2.pdf
TEMA-1.docx
TEMA-3.docx

He publicado nuevos ejercicios de 1º Estadística: IntroExcelval-5.xlsx

excel
Anónimo

@Anónimo

He publicado nuevos apuntes de 1º Estadística: Examen-2021-Stella-Belmonte-Alvarez-1.xlsx

excel
Anónimo

@Anónimo

He publicado nuevos apuntes de 1º Estadística: Libro-Estadistica-Ejercicios.xlsx

excel

He publicado nuevos ejercicios de 1º Estadística: Dades-Problemes-Tema-1-2.xlsx

excel
Anónimo

@Anónimo

He publicado nuevos apuntes de 1º Estadística: Examen-2014.xlsx

excel
Anónimo

@Anónimo

He publicado nuevos apuntes de 1º Estadística: Tema-6.xlsx

excel
Anónimo

@Anónimo

He publicado nuevos apuntes de 1º Estadística: Tema-5.xlsx

excel
Anónimo

@Anónimo

He publicado nuevos apuntes de 1º Estadística: Tema-4.xlsx

excel
Anónimo

@Anónimo

He publicado nuevos apuntes de 1º Estadística: Tema-3.xlsx

excel
Anónimo

@Anónimo

He publicado nuevos apuntes de 1º Estadística: Tema-2.xlsx

excel
Anónimo

@Anónimo

He publicado nuevos apuntes de 1º Estadística: Tema-1.xlsx

excel
Anónimo

@Anónimo

He publicado nuevos apuntes de 1º Estadística: Resumen-t.pdf

8 páginas
Anónimo

@Anónimo

He publicado nuevos apuntes de 1º Estadística: Resumen-t.pdf

4 páginas
Anónimo

@Anónimo

He publicado nuevos apuntes de 1º Estadística: Resum-t.pdf

9 páginas
Anónimo

@Anónimo

He publicado nuevos apuntes de 1º Estadística: Resumen-t.pdf

9 páginas
Anónimo

@Anónimo

He publicado nuevos apuntes de 1º Estadística: Resumen-t.pdf

4 páginas
Anónimo

@Anónimo

He publicado nuevos apuntes de 1º Estadística: Resumen-tema-1.pdf

4 páginas
Anónimo

@Anónimo

He publicado nuevos apuntes de 1º Estadística: RESUM-TEMA1.pdf

6 páginas

apuntes

-

EXAMENES+SOLUCIÓN

He publicado nuevos apuntes de 1º Estadística: EXAMENES+SOLUCIÓN

ExempleExamenSolucions.xlsx
Examen-2013-Solucions.xlsx
Examen-2013-Criminologia.pdf
Examen-2014-Criminologia.pdf
Examen-2014-Solucions.xlsx
ExempleExamen.pdf

apuntes

-

estadística

He publicado nuevos apuntes de 1º Estadística: estadística

Esquema-Inferencia.pdf
Enunciados-trabajo.pdf

apuntes

-

estadística

He publicado nuevos apuntes de 1º Estadística: estadística

Enunciados.pdf
Enunciados.pdf

examenes

-

EXAMEN + SOLUCION ESTADÍSTICA

He publicado nuevos examenes de 1º Estadística: EXAMEN + SOLUCION ESTADÍSTICA

EXAMEN-2014-ENERO.xlsx
2014ExamenEneroCB.pdf

apuntes

-

Tema 5 ANÁLISIS DE 2 O + MUESTRAS INDEP.

He publicado nuevos apuntes de 1º Estadística: Tema 5 ANÁLISIS DE 2 O + MUESTRAS INDEP.

Tema-5.pdf
Tema-5.pdf

apuntes

-

Tema 4 ANÁLISIS DE DOS MUESTRAS

He publicado nuevos apuntes de 1º Estadística: Tema 4 ANÁLISIS DE DOS MUESTRAS

Tem-4.pdf
Tema-4.pdf
Tema-4.pdf

apuntes

-

Tema 3 INFERENCIA EN UNA POBLACIÓN

He publicado nuevos apuntes de 1º Estadística: Tema 3 INFERENCIA EN UNA POBLACIÓN

Tema-3.pdf
Tema-3.pdf