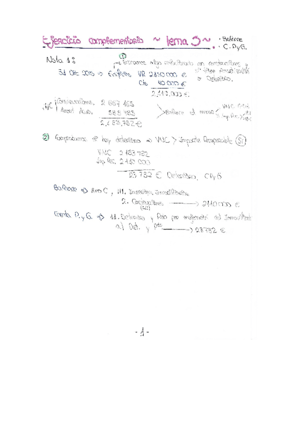
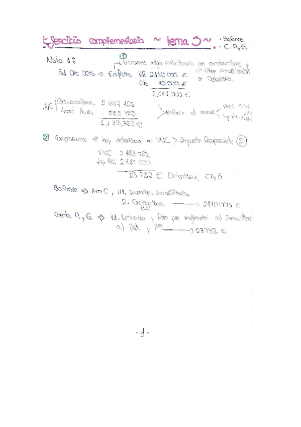
ejercicio-complementario-tema-3.docx

Alhambra

Ejercicios resueltos

11 archivos·

cuenta-de-perdidas-y-ganancias.docx

ejercicio-de-examen.docx

ejercicio-diapositiva.docx

balance-de-situacion.docx

supuesto-complementario.docx

Supuesto-examen-final.docx

estados-de-cambios-en-el-patrimonio-neto.docx

supuesto-ECPN.docx

ejercicio-complementario-tema-3.docx

Tema-4-EFE.docx

Supuesto-complementario-EFE.docx

content_copy

Archivos recomendados