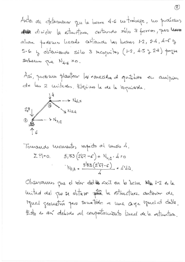
Ejerciciosarticuladas1-3SOLUCIONES.pdf

Arqmlg

Ejercicios + Apuntes CV

60 archivos·

Lostiposestructuralesplanos2012-132.pdf

22 páginas

MONOAROCA199901A.pdf

35 páginas

ArticuladasEjercicios1-3.pdf

1 página

Ejerciciosarticuladas1-3SOLUCIONES.pdf

4 páginas

Introduccion-a-las-estructuras-articuladas-2014-15.pdf

23 páginas

Ejerciciostrabajobarras.pdf

1 página

Ejercicio-modulo-5-Metodo-de-los-nudos.pdf

4 páginas

Ejercicio6voladizo.pdf

1 página

El-metodo-de-nudos.pdf

5 páginas

Ejemploejercicionudos1.pdf

8 páginas

Ejemploejercicionudos2.pdf

7 páginas

ElmetododeRitterejemplo1.pdf

5 páginas

ElmetododeRitterejemplo2.pdf

3 páginas

ElmetododeRitterejemplo3.pdf

8 páginas

ritter-2.pdf

3 páginas

Ejerciciosarticuladas4-5.pdf

1 página

ElmetododeRitter.pdf

19 páginas

Elmetododelascelosiassecundarias.pdf

10 páginas

Elmetododelascelosiassecundariasejemplo.pdf

19 páginas

Ejercicios7celosiasecundaria.pdf

1 página

Ejercicios7celosiasecundariaSOLUCION.pdf

4 páginas

ElmetododelasbarrasficticiasodeHenneberg.pdf

7 páginas

EjemploejercicioporHenneberg.pdf

13 páginas

Elmetododelostrabajosvirtuales.pdf

13 páginas

Ejercicios9movimientoesfuerzos2.pdf

1 página

Ejercicios10movimientoportemperatura.pdf

1 página

Elmovimientoenlasestructurasarticuladasconceptosteoricos.pdf

10 páginas

Ejemplomovimientoerrores.pdf

5 páginas

Ejemplomovimientofuerzasexteriores.pdf

9 páginas

Ejemplomovimientotemperatura.pdf

5 páginas

Ejercicio9movimientoesfuerzosSOLUCION.pdf

4 páginas

Ejercicios11esfuerzoshiperestaticas.pdf

1 página

Estructurasarticuladashiperestaticas.pdf

18 páginas

Ejemploarticuladashiperestaticasexterna.pdf

11 páginas

Ejemploarticuladashiperestaticasinterna.pdf

9 páginas

Ejemploarticuladashiperestaticasinternayexterna.pdf

8 páginas

Ejercicio11esfuerzoshiperestaticaSOLUCION.pdf

5 páginas

Introduccion-estructuras-reticuladas.pdf

21 páginas

Determinargradodetraslacionalidad.pdf

1 página

EjemplocalculocoeficienterepartoV.pdf

6 páginas

Estructuras-reticuladasconceptos-previos.pdf

25 páginas

coefreparto3vanos.pdf

2 páginas

Coefreparto3vanosconescalon.pdf

2 páginas

Determinarloscoeficientesdereparto.pdf

1 página

EjemplocalculocoeficienterepartoI.pdf

5 páginas

EjemplocalculocoeficienterepartoII.pdf

5 páginas

EjemplocalculocoeficienterepartoIII.pdf

5 páginas

cross3vanosescalon.pdf

1 página

ElmetododeCross.Estructurasintraslacionales.pdf

21 páginas

cross3vanos.pdf

1 página

SimplificaciondesimetriaenCross.pdf

1 página

18CrossSimplificacionesporsimetriasyantimetrias01.pdf

24 páginas

CrossSimplificacionesporsimetriasyantimetriasejemplo.pdf

18 páginas

Laecuaciondeestadodelabarraenlasestructurastraslacionales.pdf

12 páginas

Movimientoygiroestructurastraslacionales.pdf

5 páginas

Gradodetraslacionalidad.pdf

12 páginas

AplicaciondeCrossestructurastraslacionales.pdf

14 páginas

Estructuras-traslacionalesTemperatura.pdf

9 páginas

Estructurastraslacionalesasientos.pdf

8 páginas

EjemploCrosstraslacionaltemperatura.pdf

16 páginas

content_copy

Archivos recomendados