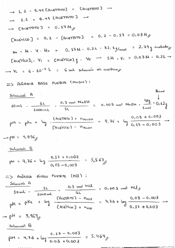
Esquema-pratica-1-2.pdf

Cleeer

Estructura y Función de Biomoléculas

15 archivos·

TEMA-5-CATALIZADORES-BIOLOGICOS.pdf

13 páginas

TEMA-2-PROTEINAS-ESTRUCTURA-PRIMARIA-Y-FUNCIONES-BIOLOGICAS.pdf

11 páginas

TEMA-3-ESTRUCTURA-TRIDIMENSIONAL-DE-LAS-PROTEINAS.pdf

8 páginas

TEMA-8-CARACTERIZACION-ESTRUCTURAL-DE-MACROMOLECULAS.pdf

7 páginas

TEMA-9-DNA-RECOMBINANTE.pdf

13 páginas

TEMA-4-RELACION-ESTRUCTURA-FUNCION-Y-EVOLUCION-DE-PROTEINAS.pdf

8 páginas

TEMA-1-ELEMENTO-MOLECULAS-ENTORNO-FISICO-Y-BIOENERGETICA-DE-LOS-SERES-VIVOS.pdf

15 páginas

Esquema-pratica-1-2.pdf

1 página

Esquema-practica-1.pdf

1 página

Esquema-practica-1-3.pdf

1 página

Ejercicio-practica-1.pdf

1 página

PRACTICA-3.pdf

3 páginas

PRACTICA-1.pdf

1 página

PRACTICA-2.pdf

3 páginas

Ejercicio-practica-1-2.pdf

1 página

content_copy

Archivos recomendados