Portada
Asignatura
Grado en Estudios de Arquitectura (UGR)
Estructuras 2: Análisis y Dimensionado de Estructuras y Cimentaciones de Hormigón Armado
Fecha de subida
16 feb 2020
Categoría
apuntes
Etiquetas
Prácticas - Practicas-Est-2.pdf
pdf
25 páginas
129
0
Apuntes - JULIO-2018.pdf
3 páginas
135
Apuntes - Elena-Moreno-Molina-Practicass-Estructuras-II-2021.pdf
55 páginas
127
Prácticas - Examen-de-Junio-2019.pdf
10 páginas
111
Apuntes - RESUMENFORMULARIO.pdf
11 páginas
112
Apuntes - JUNIO-2018.pdf
106
Exámenes - 15301778668361950630526.jpg
jpg
49
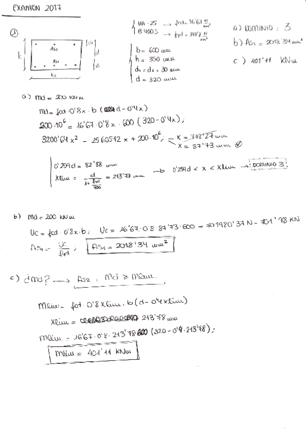
Apuntes - 2017.pdf
2 páginas
92
Exámenes - examen-convocatoria-ordinaria-Junio-2024.pdf
1 página
86
1
Prácticas - Practica-2b-Armado-de-vigas-a-flexion-simple.pdf
8 páginas
94
Prácticas - Resumen-Estructuras-2.pdf
13 páginas
83
Prácticas - Practica-5-Armado-longitudinal-de-pilares.pdf
73
Prácticas - Practica-2a-Armado-de-vigas-a-flexion-simple.pdf
6 páginas
84
Apuntes - 00.pdf
5 páginas
75
Exámenes - Problemas exémenes Felipe versión imprimir.pdf
15 páginas
70
Prácticas - Practica-6b-Armado-completo-de-vigas-a-flexion-simple.pdf
68
Apuntes - Guia-ejercicios-examen.pdf
4 páginas
71
3
Prácticas - Practica-3-Armado-longitudinal-de-vigas-a-flexion-simple.pdf
7 páginas
69
Prácticas - GARCIA-ROJO-SEVILLAEUGENIO-P9.pdf
Exámenes - WhatsApp-Image-2023-07-01-at-18.50.40.pdf
58