Portada
Asignatura
Grado en Ingeniería Civil en Construcciones Civiles (UEX)
Estructuras I
Fecha de subida
07 jun 2023
Categoría
apuntes
Etiquetas
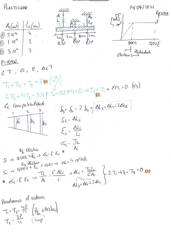
Apuntes - PlasticidadEII.pdf
pdf
25 páginas
1
0
Apuntes - Prontuario-Estructuras-simples.pdf
2
Exámenes - DIC20.pdf
4 páginas
Apuntes - Energia.pdf
22 páginas
Apuntes - Maxwell-Mohr.pdf
14 páginas
Apuntes - P1-Julio2016.pdf
2 páginas
Apuntes - parte-Juana-1.pdf
11 páginas
Exámenes - Solucion-Parcial-Hiperestaticidad.pdf
1 página
Apuntes - Tablas-de-integrales-de-Mohr.pdf
Apuntes - 2-ELASTICIDAD-Y-PLASTICIDAD-EII-2023-6.pdf
68 páginas
Apuntes - 3-PANDEO-Y-ESTABILIDAD-EII-2023-1.pdf
19 páginas