jtrdc
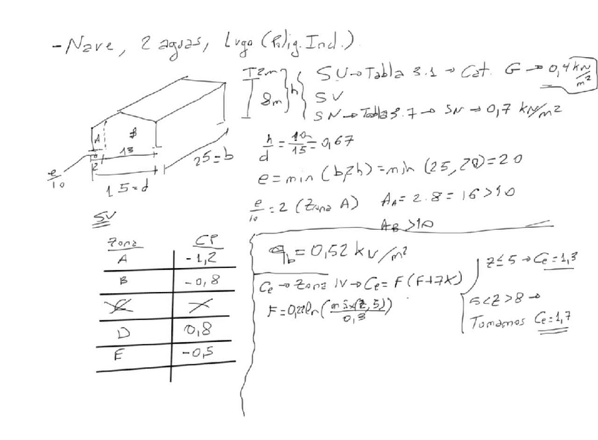
Cargas-Viento-NaveEjemplo.pdf
3 páginas
Apuntes - Calculo-Prop-Mec-Secc-I-con-platabanda.pdf
pdf
2 páginas
10
0
Apuntes - Cargas-Viento-NaveEjemplo.pdf
11
Apuntes - Boletin-problemas-resueltos.pdf
11 páginas
9
Apuntes - Calculo-Plastico-Portico-01.pdf
7
Apuntes - Resumen-Anejos-Pandeo-EAE.pdf
12 páginas
4
Apuntes - Resumen-Normativa-Grado-MecanicaSimplificado.pdf
78 páginas
5
Apuntes - Diseno-de-elementos-de-una-celosia.pdf
8
Apuntes - Calculo-Plastico.pdf
20 páginas
Apuntes - EAE-Pandeo-y-Pandeo-LateralResumen.pdf
13 páginas
Apuntes - Teoria-Pandeo-Euler.pdf
9 páginas
2