Evaluación de la Contaminación Ambiental

chevron_left
chevron_right
Todo
Apuntes
Ejercicios
Exámenes
Prácticas
Trabajos
chevron_left
chevron_right

Esquema del tema 9 de Evaluación de la Contaminación Ambiental para Ciencias Ambientales. Espero que os ayude :)

1 página

Esquema del tema 8 de Evaluación de la Contaminación Ambiental para Ciencias Ambientales. Los temas de contaminación atmosférica son más que nada fórmulas y problemas, por eso no voy a hacer esquemas de esos. Espero que este y los próximos os sean de util

1 página

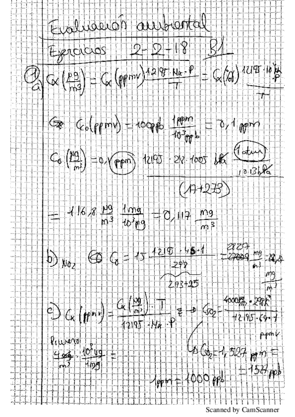
He publicado nuevos ejercicios de 2º Evaluación de la Contaminación Ambiental: ejercicios-atm--tutoria.pdf

6 páginas

He publicado nuevos apuntes de 2º Evaluación de la Contaminación Ambiental: ECA-COMPLETO.pdf

134 páginas

ejercicios

-

EJERCICIOS ATMÓSFERA

He publicado nuevos ejercicios de 2º Evaluación de la Contaminación Ambiental: EJERCICIOS ATMÓSFERA

EJERCICIOS-ATMOSFERA.pdf
EJERCICIO-7-TUTORIA-ATMOSFERA.pdf

He publicado nuevos apuntes de 2º Evaluación de la Contaminación Ambiental: APUNTES-COMPLETOS-ECA.pdf

143 páginas
Anónimo

@Anónimo

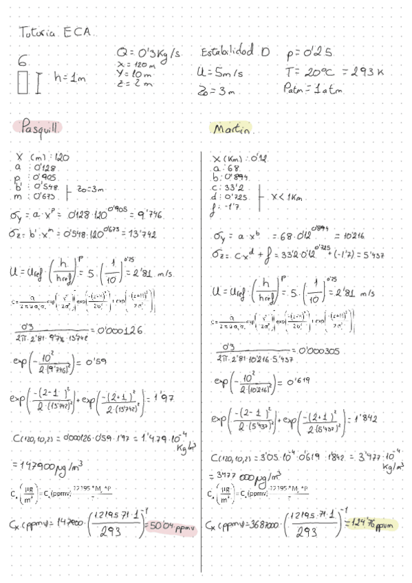
He publicado nuevos ejercicios de 2º Evaluación de la Contaminación Ambiental: TutoriaECAEjercicio6.pdf

1 página
Anónimo

@Anónimo

practicas

-

Laboratorios ECA

He publicado nuevos practicas de 2º Evaluación de la Contaminación Ambiental: Laboratorios ECA

Lab-1-ECA.pdf
Lab-2-ECA.pdf
Lab-4-ECA.pdf

He publicado nuevos apuntes de 2º Evaluación de la Contaminación Ambiental: Apuntes completos Evaluacion de la Contaminacion Ambiental.pdf

126 páginas

practicas

-

MEMORIAS PRACTICAS ECA

He publicado nuevos practicas de 2º Evaluación de la Contaminación Ambiental: MEMORIAS PRACTICAS ECA

Memorias-ECA-contaminacio-atmosferica.pdf
Memorias-ECA-Ruido.pdf

He publicado nuevos ejercicios de 2º Evaluación de la Contaminación Ambiental: Tutoria-aigues.pdf

19 páginas

He publicado nuevos ejercicios de 2º Evaluación de la Contaminación Ambiental: Tutoriasuelos.pdf

7 páginas

He publicado nuevos examenes de 2º Evaluación de la Contaminación Ambiental: Preguntas-de-Evaluacion-de-la-Contaminacion-Ambiental.pdf

1 página

He publicado nuevos apuntes de 2º Evaluación de la Contaminación Ambiental: TEMARIO-COMPLETO.pdf

123 páginas

He publicado nuevos apuntes de 2º Evaluación de la Contaminación Ambiental: Tema-13-Evaluacion-de-la-contaminacion-del-suelo.pdf

9 páginas

He publicado nuevos apuntes de 2º Evaluación de la Contaminación Ambiental: Tema-12-Metodos-para-la-caracterizacion-de-suelos-contaminados.pdf

4 páginas

He publicado nuevos apuntes de 2º Evaluación de la Contaminación Ambiental: Tema-11-Contaminacion-del-suelo.pdf

11 páginas

He publicado nuevos apuntes de 2º Evaluación de la Contaminación Ambiental: Tema-10-Evaluacion-de-la-contaminacion-de-las-guas-por-metodos-fisicoquimicos-e-Hidromorfologicos.pdf

10 páginas

He publicado nuevos apuntes de 2º Evaluación de la Contaminación Ambiental: Tema-9-Evaluacion-de-la-contaminacion-de-las-aguas-por-metodos-biologicos-e-indices-integrados.pdf

10 páginas

He publicado nuevos apuntes de 2º Evaluación de la Contaminación Ambiental: Tema-8-Evaluacion-de-la-contaminacion-en-aguas.pdf

12 páginas

He publicado nuevos apuntes de 2º Evaluación de la Contaminación Ambiental: Tema-6-Contaminacion-acustica.pdf

12 páginas

He publicado nuevos apuntes de 2º Evaluación de la Contaminación Ambiental: Tema-5-Procesos-fisicos-y-quimicos-de-la-atmosfera.pdf

8 páginas

He publicado nuevos apuntes de 2º Evaluación de la Contaminación Ambiental: Tema-4-Modelos-de-dispersion.pdf

19 páginas

He publicado nuevos apuntes de 2º Evaluación de la Contaminación Ambiental: Tema-3-Los-contaminantes-atmosfericos.pdf

17 páginas

He publicado nuevos apuntes de 2º Evaluación de la Contaminación Ambiental: Tema-2-Clasificacion-de-los-contaminantes-atmosfericos-y-sus-fuentes.pdf

4 páginas

apuntes

-

Memorias 1 y 2 completas laboratorio

He publicado nuevos apuntes de 2º Evaluación de la Contaminación Ambiental: Memorias 1 y 2 completas laboratorio

Memoria-ECA-practica-1.pdf
Sonometria.pdf

He publicado nuevos ejercicios de 2º Evaluación de la Contaminación Ambiental: ECAinformatica.pdf

7 páginas

He publicado nuevos practicas de 2º Evaluación de la Contaminación Ambiental: memoria-ECA-aguas.pdf

6 páginas

He publicado nuevos apuntes de 2º Evaluación de la Contaminación Ambiental: Tema-1-Evaluacion-de-la-contaminacion-ambiental.pdf

8 páginas

practicas

-

ECA

He publicado nuevos practicas de 2º Evaluación de la Contaminación Ambiental: ECA

Memoria-1-Eca.pdf
Tabla-valores-P1-ECA.pdf
Memoria-2-ECA.pdf

ejercicios

-

Tutorías y Ejercicios

He publicado nuevos ejercicios de 2º Evaluación de la Contaminación Ambiental: Tutorías y Ejercicios

Tutoria-1-IVAN-MASCUNAN.pdf
EjercicioAOT40.pdf
ejercicios-1-y-2-eca.pdf
Anónimo

@Anónimo

He publicado nuevos examenes de 2º Evaluación de la Contaminación Ambiental: Tutorias-enunciados.pdf

2 páginas

He publicado nuevos examenes de 2º Evaluación de la Contaminación Ambiental: Examen-ECA-suelos.pdf

3 páginas

He publicado nuevos apuntes de 2º Evaluación de la Contaminación Ambiental: PREGUNTAS-CORTAS-ECA-AGUAS.pdf

7 páginas

apuntes

-

ECA apuntes AGUAS

He publicado nuevos apuntes de 2º Evaluación de la Contaminación Ambiental: ECA apuntes AGUAS

08-Aguas-Aspectos-generales.pdf
10-Metodos-fisicoquimicos-e-hidromorfologicos.pdf
09-Metodos-biologicos.pdf

apuntes

-

PREGUNTAS DE EXAMEN

He publicado nuevos apuntes de 2º Evaluación de la Contaminación Ambiental: PREGUNTAS DE EXAMEN

CAPACIDAD-DEPURADORA-DEL-SUELO.pdf
SMOG-Y-EFECTO-INVERNADERO.pdf
CONTAMINANTES-ATM-ECA.pdf
ORGANISMOS-SUELO-Y-ACIDIFICACION-DEL-MEDIO.pdf
PARTICULAS.pdf
OZONO.pdf

He publicado nuevos apuntes de 2º Evaluación de la Contaminación Ambiental: TCMN-BLOQUES-1-2-Y-4.pdf

7 páginas

apuntes

-

TEMARIO TRANSPORTE DE CONTAMINANTES

He publicado nuevos apuntes de 2º Evaluación de la Contaminación Ambiental: TEMARIO TRANSPORTE DE CONTAMINANTES

TEMA-2.pdf
TEMA-1.pdf
TEMA-1.pdf
TEMA-3.pdf
TEMA-2.pdf
TEMA-2.pdf

He publicado nuevos apuntes de 2º Evaluación de la Contaminación Ambiental: PREGUNTAS-PRACTICAS.pdf

4 páginas

He publicado nuevos practicas de 2º Evaluación de la Contaminación Ambiental: P4Sols.pdf

4 páginas

He publicado nuevos practicas de 2º Evaluación de la Contaminación Ambiental: Informatica-ECA.pdf

13 páginas

He publicado nuevos practicas de 2º Evaluación de la Contaminación Ambiental: Memoria-de-practiques-laboratori.pdf

5 páginas

He publicado nuevos trabajos de 2º Evaluación de la Contaminación Ambiental: Tutoria-aguas.pdf

3 páginas

He publicado nuevos practicas de 2º Evaluación de la Contaminación Ambiental: Practica-aguas.pdf

4 páginas

apuntes

-

Apuntes ECA completos

He publicado nuevos apuntes de 2º Evaluación de la Contaminación Ambiental: Apuntes ECA completos

Tema-5.pdf
Tema-9.pdf
Tema-2.pdf
Tema-4-.pdf
Tema-1.pdf
Tema-10.pdf

He publicado nuevos apuntes de 2º Evaluación de la Contaminación Ambiental: ECA-Apuntes-Atmosferaremoved.pdf

36 páginas

apuntes

-

ECA temario

He publicado nuevos apuntes de 2º Evaluación de la Contaminación Ambiental: ECA temario

eca-aguas-11.pdf
eca-aguas-9.pdf
eca-aguas-10.pdf
Tema-2-Atmos.pdf
Tema-1-Suelo.pdf
Tema-2-Suelo.pdf

He publicado nuevos practicas de 2º Evaluación de la Contaminación Ambiental: memoria-eca-atmosfera.pdf

15 páginas

apuntes

-

TEMARIO

He publicado nuevos apuntes de 2º Evaluación de la Contaminación Ambiental: TEMARIO

ECA-AGUAS-T8-10.pdf
ECA-ATM-TEMA-5.pdf
ECA-SUELOS-T11-13.pdf
ECA-ATM-T-1-6menos-5.pdf

practicas

-

Memorias de prácticas ATMÓSFERA

He publicado nuevos practicas de 2º Evaluación de la Contaminación Ambiental: Memorias de prácticas ATMÓSFERA

Practica-1-ATM.pdf
Practica-informatica-ATM.pdf
PRACTICA-2-ATM.pdf

practicas

-

Pràctiques ECA 18-19

He publicado nuevos practicas de 2º Evaluación de la Contaminación Ambiental: Pràctiques ECA 18-19

Practica-2RicardoJulveMireiaQuesadaL4.pdf
ECA-aiguesMireiaQuesadaL4.pdf
ECA-solsMireiaQuesada.pdf
Practica-1RicardoJulveMireiaQuesadaL4.pdf

He publicado nuevos apuntes de 2º Evaluación de la Contaminación Ambiental: ECA-atmosfera.pdf

91 páginas
Anónimo

@Anónimo

ejercicios

-

EJERCICIOS ECA

He publicado nuevos ejercicios de 2º Evaluación de la Contaminación Ambiental: EJERCICIOS ECA

ejercicIOs-ECA.pdf
ejercicio-eca-boletin-1-y-2.pdf

apuntes

-

Apuntes ECA

He publicado nuevos apuntes de 2º Evaluación de la Contaminación Ambiental: Apuntes ECA

ECAAire-.pdf
ECAAigua.pdf
ECASols.pdf
ECAInfor.pdf

He publicado nuevos apuntes de 2º Evaluación de la Contaminación Ambiental: Practica-2.pdf

11 páginas

He publicado nuevos apuntes de 2º Evaluación de la Contaminación Ambiental: Practica-1.pdf

7 páginas

practicas

-

Memorias de aguas y suelos

He publicado nuevos practicas de 2º Evaluación de la Contaminación Ambiental: Memorias de aguas y suelos

Aguas segunda parte.pdf
1_2 Memoria AGUA.pdf
Practica suelos ECA .pdf

He publicado nuevos examenes de 2º Evaluación de la Contaminación Ambiental: ECA EXAMEN ATM 2017:18.pdf

1 página

He publicado nuevos examenes de 2º Evaluación de la Contaminación Ambiental: ECA AGUA EXAMEN.pdf

1 página

apuntes

-

Apuntes completos ECA

He publicado nuevos apuntes de 2º Evaluación de la Contaminación Ambiental: Apuntes completos ECA

Tema 2 - ECA.pdf
Tema 3 - ECA.pdf
Tema 4 - ECA.pdf
Tema 6 - ECA.pdf
Tema 1 - ECA.pdf
Tema 7 - ECA.pdf