user_3601112
Los enunciados están en una publicación de Wuolah llamada "examenjunio-resuelto.pdf" - (Anónimo)
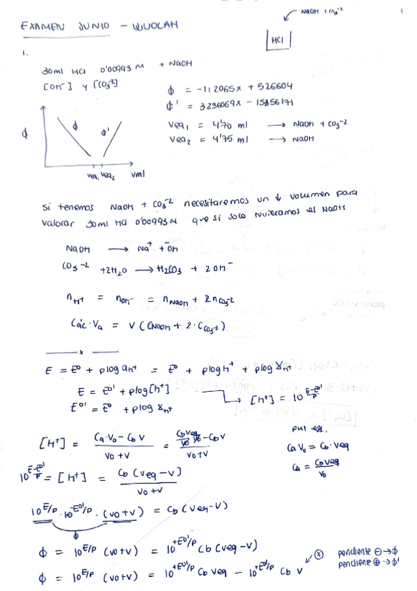
Examen-Junio-Resuelto-WUOLAH.pdf
14 páginas
Exámenes - examenjunio-resuelto.pdf
pdf
2 páginas
51
2
Apuntes - Informe-Experimentacion-en-Quimica-Fisica.pdf
58 páginas
50
0
Prácticas - INFORME-EQF-Andrea-Becerra.pdf
64 páginas
31
Prácticas - Informes-practicas-3-4-y-5.pdf
38 páginas
25
Exámenes - Examen-resuelto.pdf
12 páginas
12
Prácticas - Informe-Practicas-EQF.pdf
54 páginas
23
Prácticas - Informes-practicas-1-y-2.pdf
27
Prácticas - Practicas-1-y-2.pdf
9 páginas
20
Exámenes - Examen-Junio-Resuelto-WUOLAH.pdf
14
Prácticas - practicabenzoico2016.pdf
3 páginas
8
Prácticas - practicayodo2016.pdf
8 páginas
7
Prácticas - practicapKw2016.pdf
7 páginas
10
Prácticas - practicaespectro2016.pdf
5
Prácticas - practicaadsorcion2016.pdf
6
Exámenes - EXAMEN-resuelto.pdf
0 páginas
3