Portada
Asignatura
Grado en Economía (UV)
Finanzas
Fecha de subida
07 jun 2021
Categoría
apuntes
Etiquetas
Exámenes - ExamenFinanzasJunio2018Parte1solucionado.pdf
pdf
4 páginas
198
0
Exámenes - Examenjunio2019-solucionado.pdf
159
Test - Prueba-TEMAS-1-y-2.docx
docx
53
Exámenes - Examen-28-mayo-parte1-solucionado.pdf
5 páginas
14
2
Exámenes - Exercicis-de-la-segona-prova.xlsx
xlsx
97
Exámenes - Examen-28-mayo-parte2.pdf
7 páginas
16
1
Exámenes - TEST-T6-finances.pdf
10 páginas
158
Test - Prueba-TEMA-3.docx
35
Exámenes - Examen-Junio-2022-solucionado.pdf
137
Exámenes - Prueba-2-2020.pdf
3 páginas
123
Exámenes - Examen-10-de-junio-2022.Resuelto.pdf
6 páginas
108
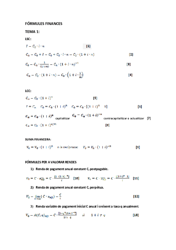
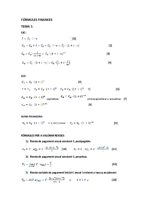
Apuntes - FORMULES-FINANCES.pdf
8 páginas
113
Exámenes - PARCIAL-FINANZAS-TEMA-4-Y-5.pdf
121
Exámenes - TEST-T4-5-finances.pdf
16 páginas
112
Exámenes - Examen-27-junio-2019-Parte-1-con-soluciones.pdf
93
Exámenes - ExamenFinancesJuny2018-Castellano-SOLUCIO.pdf
95
Exámenes - Examen-2022-Renta-fija-Solucion.pdf
89
Exámenes - EXAMEN-JUNIO-2018.pdf
78
Exámenes - ExamenFinanzasJunio2019-SOLUCION.pdf
91
Exámenes - Prueba-2-solucionada.pdf
84