chevron_left
chevron_right
Todo
Apuntes
Prácticas
chevron_left
chevron_right

practicas

-

Labs cuántica 24/25

He publicado nuevos practicas de 3º FÍSICA CUÁNTICA AVANZADA: Labs cuántica 24/25

Landau-levels.pdf
Resonant-tunneling.pdf
Hall-Effect.pdf
Atomic-spectra-of-HeHg.pdf

apuntes

-

Intro to Molecular physics

He publicado nuevos apuntes de 3º FÍSICA CUÁNTICA AVANZADA: Intro to Molecular physics

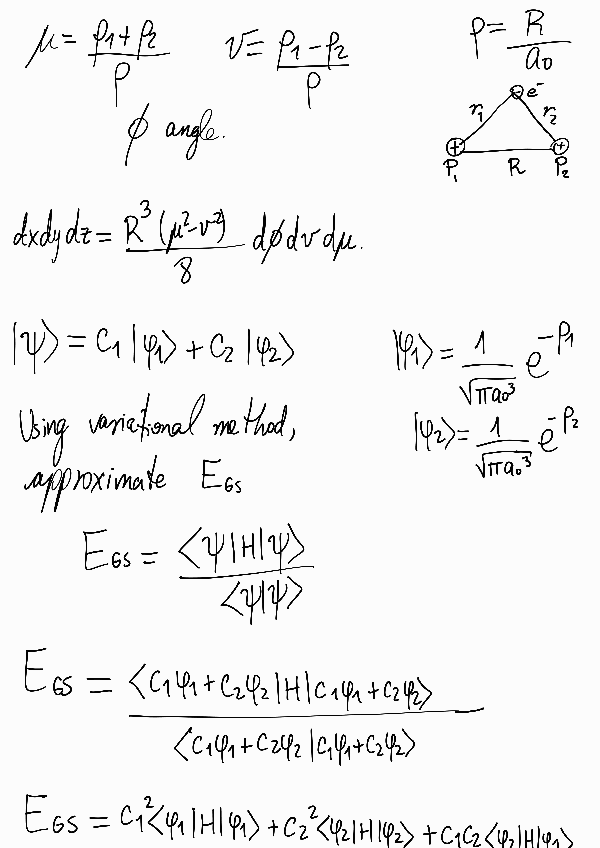
Solving-the-H-atom.pdf
Problems-lesson-6-Introduction-to-Molecular-Physics221125122122.pdf

apuntes

-

Many particles

He publicado nuevos apuntes de 3º FÍSICA CUÁNTICA AVANZADA: Many particles

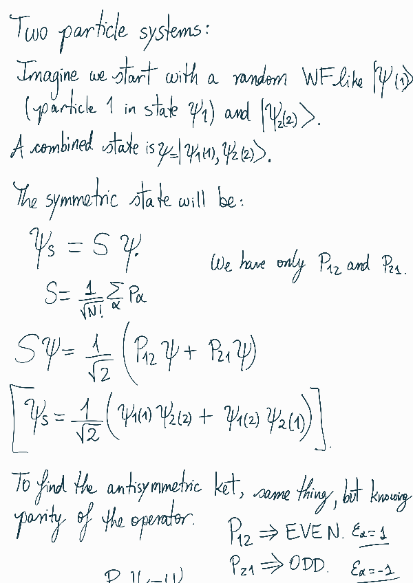
Permutation-operators.pdf
Physical-Kets-Many-electron-atoms.pdf
Problems-lesson-5-Many-electron-atoms221206213226.pdf
Problems-many-e-atoms.pdf

apuntes

-

Perturbation methods

He publicado nuevos apuntes de 3º FÍSICA CUÁNTICA AVANZADA: Perturbation methods

Perturbation-methods.pdf
Review-time-dependent-perturbations.pdf
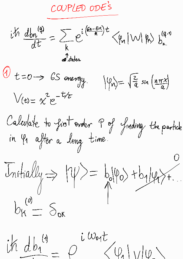
Time-dependent-PM.pdf
Ejs-Perturbation-Methods.pdf
Problems-lesson-3-Approximation-methods-in-Quantum-Mechancis221013165027.pdf
Problems-lesson-4-Introduction-to-light-matter-interaction221107114430.pdf

apuntes

-

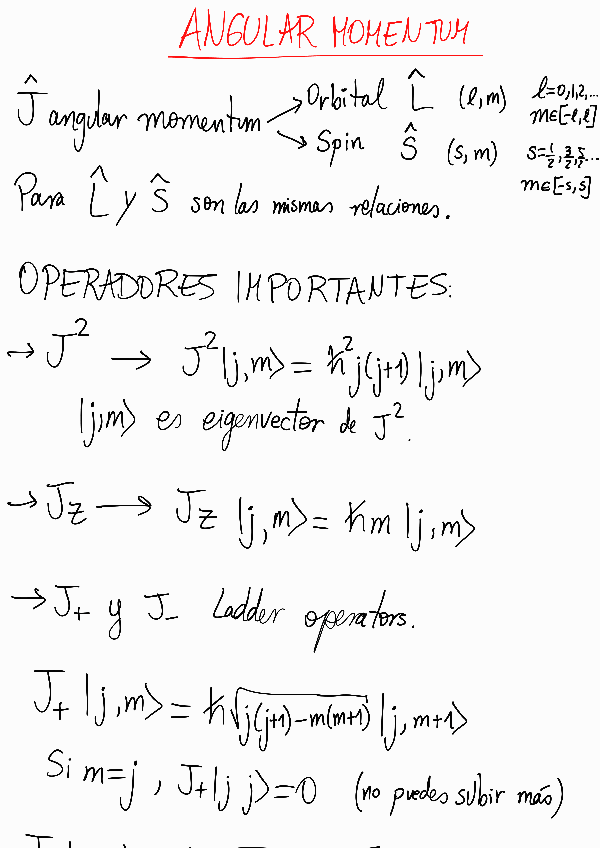
Angular Momentum

He publicado nuevos apuntes de 3º FÍSICA CUÁNTICA AVANZADA: Angular Momentum

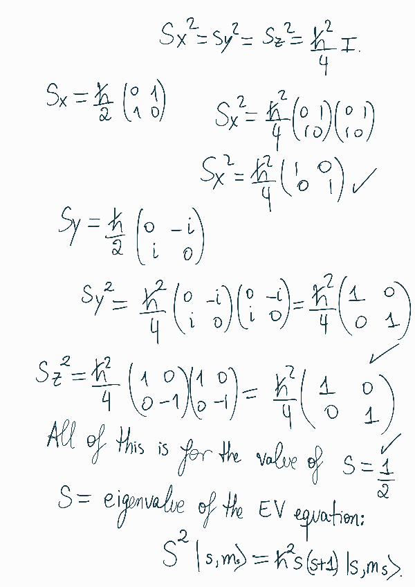
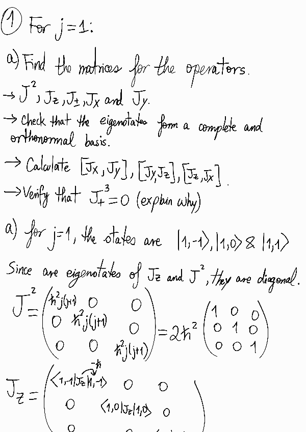
Spin-Matrices.pdf
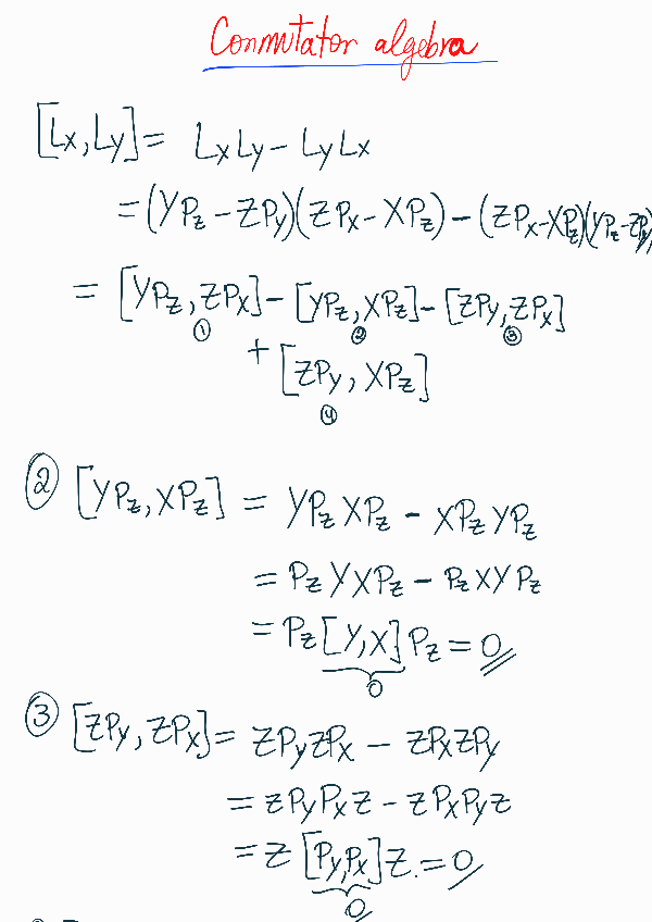
Conmutators.pdf
Ejs-Angular-Momentum.pdf
Problems-lesson-2-Angular-Momentum-221004105913.pdf

He publicado nuevos apuntes de 3º FÍSICA CUÁNTICA AVANZADA: Formulario-de-la-asignatura.pdf

10 páginas

apuntes

-

Mathematical fundamentals

He publicado nuevos apuntes de 3º FÍSICA CUÁNTICA AVANZADA: Mathematical fundamentals

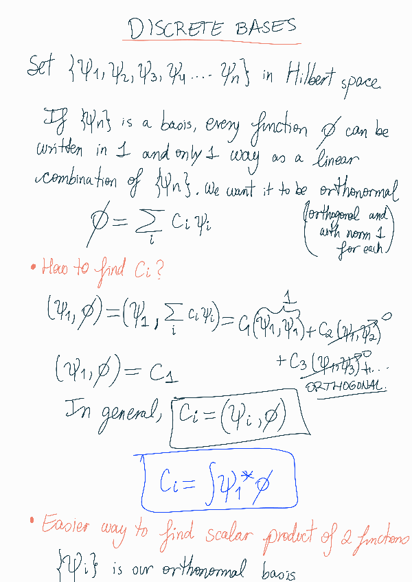
Bases-in-Vector-Spaces.pdf
Dirac-Notation.pdf
Hilbert-spaces.pdf
Observables-and-representations.pdf
Operators.pdf
Postulantes-of-Quantum-Mechanics.pdf
¡Estás al día!

¡Estás al día!

Has visto todos los archivos