Anónimo
Resumen Cuántica 1 (Espacios de Hilbert Pozos Escalones Oscilador armónico).pdf
10 páginas
Ejercicios - problemas resueltos cuantica.pdf
pdf
37 páginas
473
3
Ejercicios - EJERCICIOS RESUELTOS + EXAMEN RESUELTO.pdf
17 páginas
588
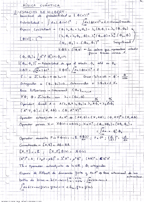
Apuntes - FormularioCunticaICopy.pdf
2 páginas
456
4
Apuntes - FsicaCunticaI-22.pdf
60 páginas
535
Exámenes - Examen 2018 resuelto.pdf
5 páginas
344
0
Apuntes - Resumen Cuántica 1 (Espacios de Hilbert Pozos Escalones Oscilador armónico).pdf
210
Exámenes - Examenfinal2022MayoSolucionesSudupe.pdf
8 páginas
284
Apuntes - Apuntes Cuántica 1 Latex.pdf
68 páginas
217
Ejercicios - Cuántica.pdf
125 páginas
135
Ejercicios - Soluciones-T2-Cuantica.pdf
9 páginas
185
Exámenes - ink.png
png
216
Ejercicios - Soluciones-T3.pdf
6 páginas
162
Exámenes - Final-FQ-I.pdf
1 página
320
1
Apuntes - INTENSIVO-CUANTICA-I-MILAGROS.pdf
62 páginas
137
2
Exámenes - Soluciones-parcial.pdf
7 páginas
164
5
Apuntes - Formulario.pdf
3 páginas
205
Exámenes - Examen-Final-Julio-2020-Fisica-Cuantica-I.pdf
169
Exámenes - Examen-Fisica-Cuantica-I.pdf
201
Apuntes - Resumen-cuantica-todo-el-curso.pdf
38 páginas
154
6
Exámenes - Carmelo-Ejercicios-Examen.pdf
22 páginas