Física Cuántica II

Todo
Apuntes
Ejercicios
Exámenes
Prácticas
Trabajos
chevron_left
chevron_right

ejercicios

-

TUTELADAS CUÁNT II

He publicado nuevos ejercicios de 3º Física Cuántica II: TUTELADAS CUÁNT II

BOLETIN-0-CUANT-II.pdf
BOLETIN-1-CUANT-II.pdf
BOLETIN-2-CUANT-II.pdf
BOLETIN-3-CUANT-II.pdf
BOLETIN-4-CUANT-II.pdf
BOLETIN-5-CUANT-II.pdf

examenes

-

Entregables 2025

He publicado nuevos examenes de 3º Física Cuántica II: Entregables 2025

Fuerza-nuclear-y-el-deutreon.pdf
Relacion-de-Kramers-en-el-atomo-de-hidrogeno.pdf
Anónimo

@Anónimo

examenes

-

EXAMENS

He publicado nuevos examenes de 3º Física Cuántica II: EXAMENS

EXAMEN-MAIG-2024.pdf
EXAMEN-MAIG-2019.pdf
EXAMEN-MAIG-2018.pdf
EXAMEN-JULIOL-2017.pdf
EXAMEN-JUNY-2016.pdf
EXAMEN-JUNY-2017.pdf

ejercicios

-

Tuteladas

He publicado nuevos ejercicios de 3º Física Cuántica II: Tuteladas

Boletin-0.pdf
Boletin-1.pdf
boletin-3.pdf
Boletin-2.pdf

apuntes

-

quàntica 2 - resums per tema

He publicado nuevos apuntes de 3º Física Cuántica II: quàntica 2 - resums per tema

t1-quant2.pdf
t2-quant2.pdf
t3-quant2.pdf
t4-quant2.pdf
t5-quant2.pdf
t6-quant2.pdf

apuntes

-

APUNTES CASTELLANO

He publicado nuevos apuntes de 3º Física Cuántica II: APUNTES CASTELLANO

TEMA-1-MODELO-DE-MOLECULAS.pdf
TEMA-2-POTENCIALES-PERIODICOS.pdf

apuntes

-

Resums quàntica II

He publicado nuevos apuntes de 3º Física Cuántica II: Resums quàntica II

T.1-Conceptes-basics-de-la-Fisica-Quantica.pdf
T.2-Models-de-Molecules.pdf
T.3-Potencials-periodics.pdf
T.4-Problemes-tridimensionals-i-moment-angular.pdf
T.5-Potencials-centrals-Atom-dhidrogen.pdf
T.6-Metodes-aproximats.pdf

Física Cuántica II Tema 5 Potenciales Centrales Átomo de Hidrógeno

7 páginas

Física Cuántica II Tema 6: Métodos Aproximados

11 páginas

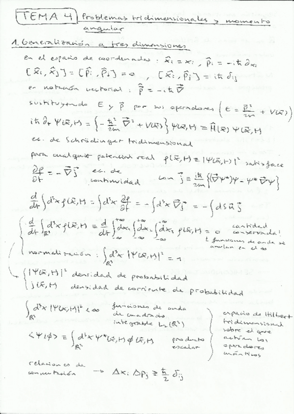
Física Cuántica 2. Tema 4: Problemas Tridimensionales y Momento Angular

9 páginas

Física Cuántica 2. Tema 3 Potenciales Periódicos

6 páginas

Física Cuántica 2. Tema 2: Modelos Unidimensionales de Moléculas

6 páginas

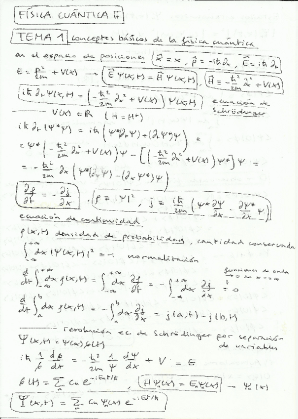
Física Cuántica 2 Tema 1 Conceptos Básicos De La Física Cuántica

6 páginas

apuntes

-

Exámenes resueltos cumpilation

He publicado nuevos apuntes de 3º Física Cuántica II: Exámenes resueltos cumpilation

Repaso-examenes-II240528195437-2-1-20.pdf
Repaso-examenes-II240528195437-2-21-40.pdf

examenes

-

Exàmens resolts

He publicado nuevos examenes de 3º Física Cuántica II: Exàmens resolts

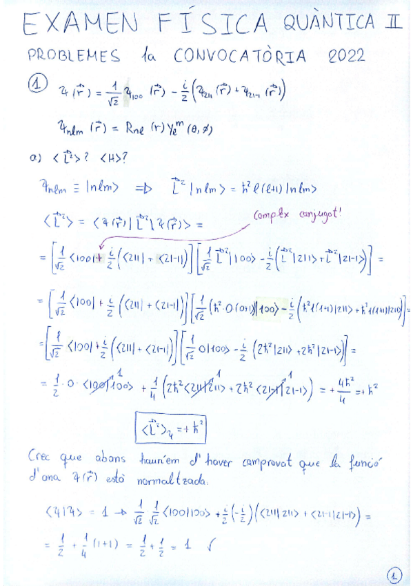
Juny2022.pdf
Maig2019.pdf
2019.pdf
Juny2021.pdf
Maig2023.pdf

ejercicios

-

Butlletins resolts

He publicado nuevos ejercicios de 3º Física Cuántica II: Butlletins resolts

ProbT2.pdf
Problema-3.4.pdf
ProbT6.pdf
ProbT7.pdf
ProbT5.pdf
Problema-6.6.pdf

examenes

-

EXAMENES

He publicado nuevos examenes de 3º Física Cuántica II: EXAMENES

Problemas-Cuantica.pdf
Teoria-Cuantica.pdf

trabajos

-

Entregables

He publicado nuevos trabajos de 3º Física Cuántica II: Entregables

Entregable-I.pdf
Entregable-II.pdf

apuntes

-

Boletines

He publicado nuevos apuntes de 3º Física Cuántica II: Boletines

Boletin-0.pdf
Boletin-1.pdf
Boletin-2.pdf
Boletin-3.pdf
Boletin-4.pdf
Boletin-5.pdf

apuntes

-

butlletins

He publicado nuevos apuntes de 3º Física Cuántica II: butlletins

but-1.pdf
but-2.pdf
but-3.pdf
but-4.pdf
but-5.pdf
but-6.pdf

He publicado nuevos examenes de 3º Física Cuántica II: teoria-2023-24.jpg

Imagen

He publicado nuevos examenes de 3º Física Cuántica II: problemas-2023-24.jpg

Imagen

He publicado nuevos examenes de 3º Física Cuántica II: 2023-2-conv-resuelto.pdf

15 páginas

He publicado nuevos examenes de 3º Física Cuántica II: 2023-1-conv-resuelto.pdf

7 páginas

He publicado nuevos ejercicios de 3º Física Cuántica II: Segundo-entregable-momento-anguar.pdf

13 páginas

He publicado nuevos ejercicios de 3º Física Cuántica II: Primer-entregable-Potencial-periodico.pdf

19 páginas

apuntes

-

Algunos temas resumidos y boletines completos

He publicado nuevos apuntes de 3º Física Cuántica II: Algunos temas resumidos y boletines completos

Tema-4-Potenciales-centrales.pdf
Tema-1-Modelo-de-moleculas.pdf
Tema-3-Problemas-3D-y-momento-angular.pdf
Tema-5-Perturbaciones-estacionarias.pdf
Tema-2-Potenciales-periodicos.pdf
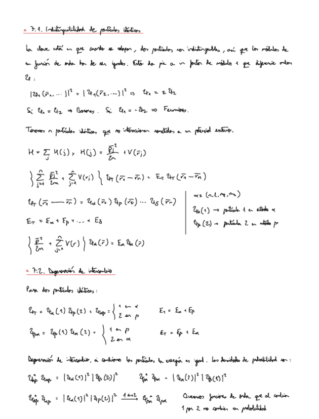
Tema-7-Particulas-identicas.pdf

He publicado nuevos apuntes de 3º Física Cuántica II: Examenes-resueltos-cumpilation.pdf

40 páginas

apuntes

-

Entregables cuántica II

He publicado nuevos apuntes de 3º Física Cuántica II: Entregables cuántica II

Entregable-2-23-24.pdf
Entregable-1-23-24.pdf
Anónimo

@Anónimo

He publicado nuevos apuntes de 3º Física Cuántica II: Apuntes-Teoria-Examenes-Anteriores.pdf

9 páginas

He publicado nuevos examenes de 3º Física Cuántica II: Examen-2023-Problemas-Grupo-A.pdf

2 páginas

He publicado nuevos examenes de 3º Física Cuántica II: Resolucion-Examenes-FQII.pdf

24 páginas

He publicado nuevos apuntes de 3º Física Cuántica II: Resumen-Teoria-FQII-T7-8.pdf

9 páginas

He publicado nuevos apuntes de 3º Física Cuántica II: Resumen-Teoria-FQII-T1-6.pdf

24 páginas

examenes

-

Exàmens

He publicado nuevos examenes de 3º Física Cuántica II: Exàmens

FQIIExamen1a2021.pdf
FQIIExamen1a2022.pdf

ejercicios

-

Tutelades resoltes

He publicado nuevos ejercicios de 3º Física Cuántica II: Tutelades resoltes

FQII-Tutelada1.pdf
FQII-Tutelada2.pdf
FQII-Tutelada3.pdf
FQII-Tutelada4.pdf
FQII-Tutelada5.pdf
FQII-Tutelada6.pdf

apuntes

-

Apunts de classe

He publicado nuevos apuntes de 3º Física Cuántica II: Apunts de classe

FQII-Tema1.pdf
FQII-Tema2.pdf
FQII-Tema3.pdf
FQII-Tema4.pdf
FQII-Tema5.pdf
FQII-Tema6.pdf

He publicado nuevos ejercicios de 3º Física Cuántica II: Entregable3QuanticaII.pdf

9 páginas

He publicado nuevos ejercicios de 3º Física Cuántica II: Entregable2QuanticaII.pdf

4 páginas

He publicado nuevos ejercicios de 3º Física Cuántica II: Entregable1QuanticaII.pdf

4 páginas

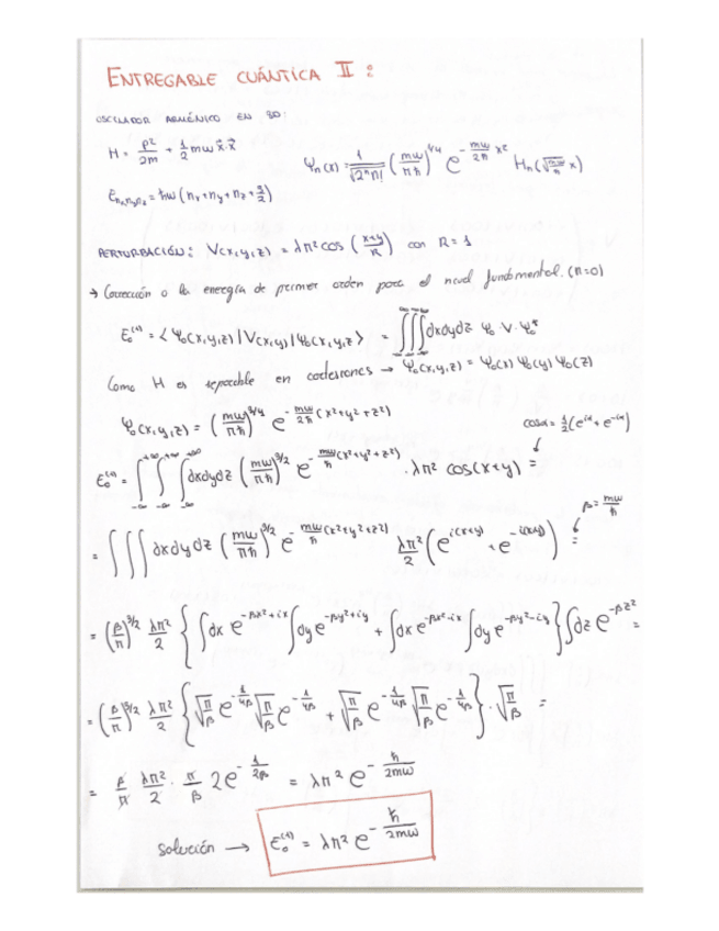
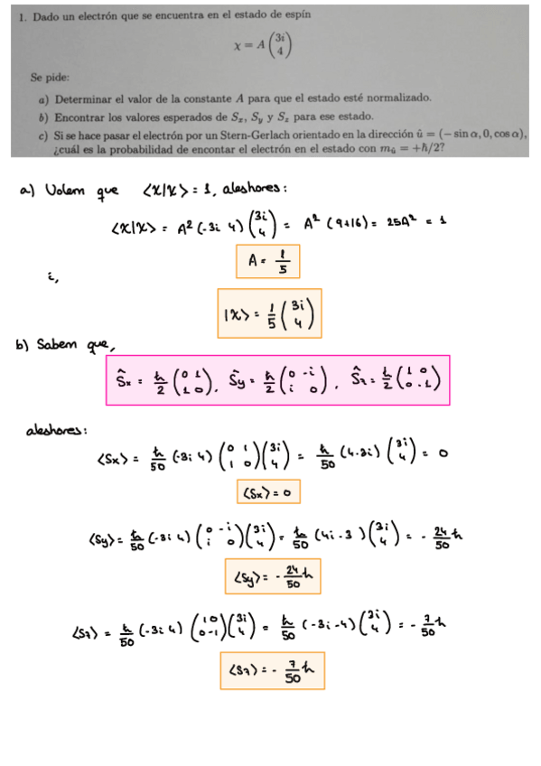
He publicado nuevos trabajos de 3º Física Cuántica II: ENTREGABLE-CUANTICA.pdf

4 páginas

He publicado nuevos trabajos de 3º Física Cuántica II: Entregable-2-FQ-II.pdf

6 páginas

He publicado nuevos apuntes de 3º Física Cuántica II: FQ2Resumen.pdf

11 páginas

He publicado nuevos apuntes de 3º Física Cuántica II: FQ2Teoria.pdf

74 páginas

ejercicios

-

Boletines y Entregables Resueltos Cuántica II Castellano

He publicado nuevos ejercicios de 3º Física Cuántica II: Boletines y Entregables Resueltos Cuántica II Castellano

Boletin-0-Repaso.pdf
Boletin-1-Modelos-de-moleculas.pdf
Boletin-2-Potenciales-periodicos.pdf
Boletin-3-Prob-Tridimensionales-y-de-momento-angular.pdf
Boletin-4-Atomo-de-Hidrogeno.pdf
Boletin-5-Perturbaciones.pdf

apuntes

-

Apuntes Cuántica II Castellano

He publicado nuevos apuntes de 3º Física Cuántica II: Apuntes Cuántica II Castellano

T4-Molecula-de-H.pdf
T5-Metodos-aproximados.pdf
T6-Interaccion-campo-magnetico.-Espin-del-electron.pdf
T7-Particulas-identicas.pdf
Apuntes-Cuantica-II-Comentados.pdf

He publicado nuevos ejercicios de 3º Física Cuántica II: EntregablesQuanticaII.pdf

25 páginas
Anónimo

@Anónimo

apuntes

-

Primeros temas

He publicado nuevos apuntes de 3º Física Cuántica II: Primeros temas

SCANERMostrad0111220220428120210-1-3.pdf
SCANERMostrad0111220220428120210.pdf
SCANERMostrad0111520220428120455.pdf

He publicado nuevos apuntes de 3º Física Cuántica II: resumen-cuantica-II-1.pdf

16 páginas

He publicado nuevos apuntes de 3º Física Cuántica II: EntregableIIIFisicaCuanticaII.pdf

3 páginas

apuntes

-

Apuntes Teoria Resumidos

He publicado nuevos apuntes de 3º Física Cuántica II: Apuntes Teoria Resumidos

T1-Modelo-de-moleculas.pdf
Tema2-Potenciales-Periodicos.pdf

He publicado nuevos apuntes de 3º Física Cuántica II: Entregable2Momento-Angular.pdf

5 páginas

ejercicios

-

Ejercicios Cuántica II BONITOS

He publicado nuevos ejercicios de 3º Física Cuántica II: Ejercicios Cuántica II BONITOS

Boletin-3-Cuantica-II-Bonito-.pdf
Boletin-6-Cuantica-II-Bonito-Interaccion-espin-.pdf
Boletin-2-Cuantica-II-Bonito-.pdf
Boletin-5-Cuantica-II-Bonito-Perturbaciones-.pdf
Boletin-7-Cuantica-II-Bonito-Identicas-.pdf
Boletin-4-Cuantica-II-Bonito-Pot-central.pdf

examenes

-

EXAMENS RESOLTS

He publicado nuevos examenes de 3º Física Cuántica II: EXAMENS RESOLTS

2020-C-T-P-2a-210605203315.pdf
2019-V-T-P-2a210605100551.pdf
2019-V-T-P-1a210603160624.pdf
2020-C-T-P-1210603124530.pdf
Anónimo

@Anónimo

ejercicios

-

Butlletins

He publicado nuevos ejercicios de 3º Física Cuántica II: Butlletins

Tema 1
Tema 5
Tema 7
Tema 2
Tema 4
Tema 6

He publicado nuevos examenes de 3º Física Cuántica II: Examen-Cuantica-Junio-de-2021.pdf

3 páginas
Anónimo

@Anónimo

He publicado nuevos apuntes de 3º Física Cuántica II: CamScanner-05-27-2021-22.pdf

6 páginas
Anónimo

@Anónimo

examenes

-

Exámenes (rentan)

He publicado nuevos examenes de 3º Física Cuántica II: Exámenes (rentan)

Mayo-2018-Valenciano.pdf
Mayo-2018-Valenciano.pdf
pull exámenes recientes