Yael_Arquero
Miniatura del documento T5.pdf

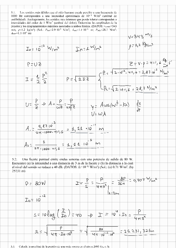
Portada

Miniatura del documento T5.pdf

Fecha de subida

16 jun 2025

Categoría

ejercicios

Etiquetas

category

ejercicios

content_copy

Archivos recomendados