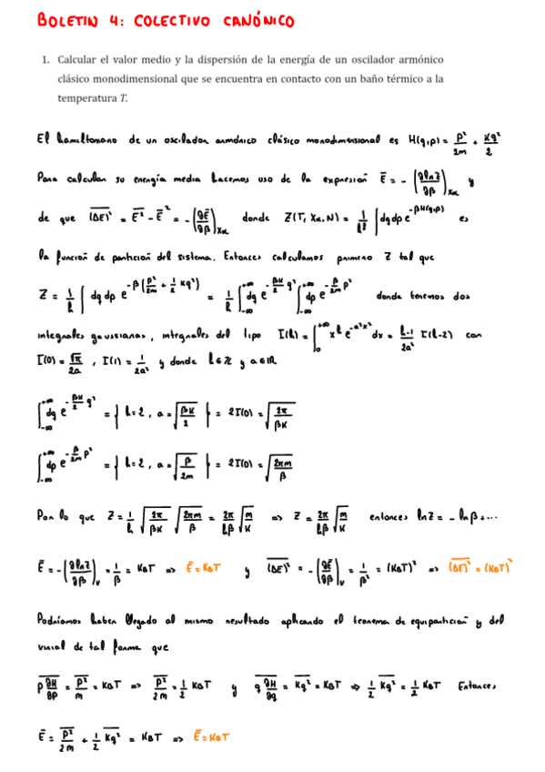
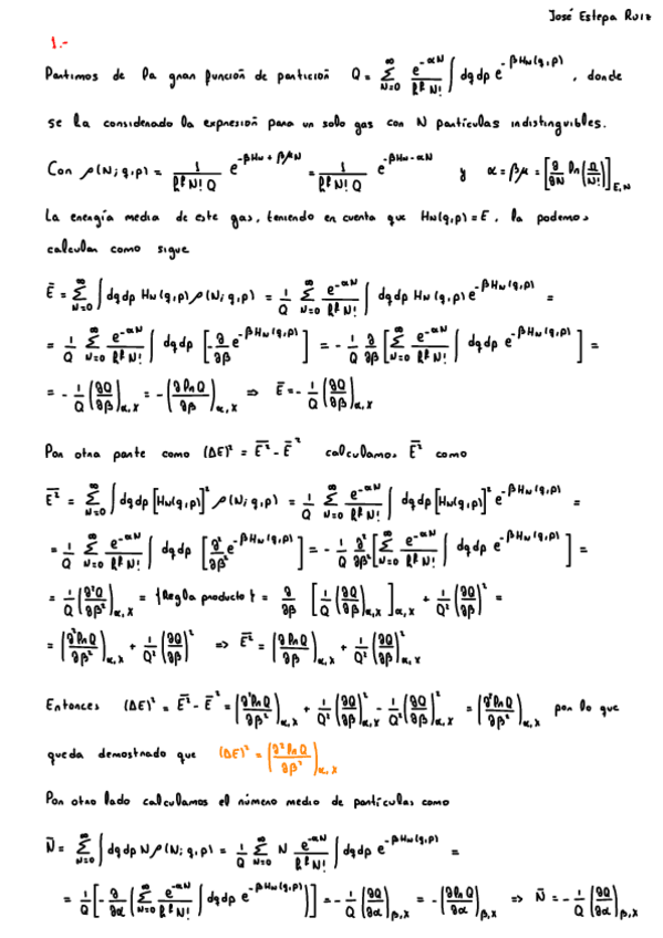
BOLETIN-4-COLECTIVIDAD-CANONICA.pdf

joesru_08

BOLETINES FE CLASICA (CURSO 2022-23)

9 archivos·

BOLETINES FE CLASICA (CURSO 2022-23)

BOLETIN-2-FUNDAMENTOS-DE-FISICA-ESTADISTICA-CLASICA.pdf

6 páginas

BOLETIN-3-COLECTIVIDAD-MICROCANONICA.pdf

9 páginas

BOLETIN-3-COLECTIVO-MICROCANONICO.pdf

6 páginas

BOLETIN-4-COLECTIVIDAD-CANONICA.pdf

11 páginas

BOLETIN-4-COLECTIVO-CANONICO.pdf

7 páginas

BOLETIN-5-COLECTIVIDAD-MACROCANONICA.pdf

2 páginas

BOLETIN-5-COLECTIVO-GRAN-CANONICO.pdf

2 páginas

BOLETINES-FISICA-ESTADISTICA-CLASICA-B2-B6.pdf

45 páginas

Entregable-Estadistica-Clasica-Jose-Estepa-Ruiz.pdf

4 páginas

content_copy

Archivos recomendados