seagullmoe33
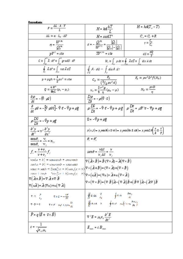
Formulario-Fisica-II.pdf
1 página
Exámenes - Examenes-desde-2024-2021.pdf
pdf
18 páginas
22
1
Exámenes - Examen-FisII-1Xull2021.pdf
2 páginas
50
0
Exámenes - Examen-FisII-18Ener2022.pdf
Apuntes - F2-Examen-2017-Xuno.pdf
8 páginas
34
Apuntes - F2-Examen-2018-Xuno.pdf
15 páginas
37
Apuntes - F2-CCM-T1-Boletin-1-Termodinamica-R.pdf
64 páginas
Exámenes - Examen-FisII-26En2021.pdf
24
Apuntes - F2-Examen-2018-Xullo.pdf
7 páginas
27
Apuntes - F2-Examen-2016-Xullo.pdf
9 páginas
29
Apuntes - F2-Examen-2016-Maio.pdf
13 páginas
20
Apuntes - F2-Examen-2017-Xullo.pdf
Exámenes - Examen-ordinaria-24-25.pdf
18
Otros - Formulario-Fisica-II.pdf
33
Apuntes - teoria-de-campos-fisica-ii.pdf
Apuntes - F2-CCM-T2-Boletin-1-Teoria-elemental-de-campos-R.pdf
14 páginas
17
Apuntes - Apuntes-Fisica-II.pdf
220 páginas
Apuntes - F2-CCM-T3-Boletin-1-Mecanica-de-fluidos-R.pdf
23 páginas
19
Apuntes - F2-CCM-T4-Boletin-1-Ondas-R.pdf
20 páginas
Apuntes - fluidos-.pdf
11 páginas
16
Exámenes - ExamenFisicaII30Maio2016.pdf