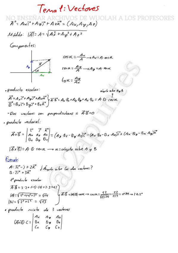
vectores.pdf

2apuntes

APUNTES POR TEMAS

14 archivos·

Cinematica-.pdf

3 páginas

dinamica-de-rotacion.pdf

3 páginas

centro-de-masas-.pdf

1 página

Dinamica-del-solido-rigido.pdf

4 páginas

estatica.pdf

1 página

oscilaciones-.pdf

2 páginas

sonido-.pdf

1 página

Tema-elasticidad.pdf

1 página

vectores.pdf

2 páginas

movimiento-circular.pdf

4 páginas

energias.pdf

2 páginas

ondas-.pdf

2 páginas

Elasticidad.pdf

2 páginas

movimiento-circular-y-cantidad-de-movimiento.pdf

1 página

content_copy

Archivos recomendados