Portada
Asignatura
Grado en Ingeniería en Tecnologías Industriales (UPM)
Física General II
Fecha de subida
02 mar 2025
Categoría
apuntes
Información
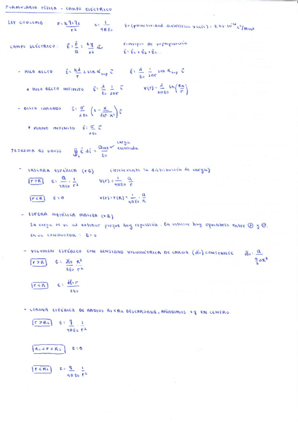
Recopilación de las fórmulas del tema 3
Etiquetas
#Formulario
#FisicaII
#Campoeléctrico
Apuntes - RESÚMENES FÍSICA II.pdf
pdf
14 páginas
490
10
Apuntes - Formulario-completo-Fisica-II.pdf
10 páginas
178
5
Apuntes - FG2Formulario-PEC1-T1-T6.pdf
15 páginas
310
7
Apuntes - prac1FISII.pdf
1 página
224
3
Apuntes - ilovepdfmerged-16.pdf
99 páginas
364
0
Apuntes - FG2Formulario-PEC2-T7-T14.pdf
23 páginas
198
2
Apuntes - CuestionariosMoodleFisica2.pdf
42 páginas
202
Apuntes - Clase-8-Dielectrico.pdf
16 páginas
118
Apuntes - FG2formularioFINALT1-14.pdf
38 páginas
200
Apuntes - Clase-1-Temperatura-y-Calor.pdf
11 páginas
128
1
Apuntes - Clase-3-Primer-principio-de-la-Termodinamica.pdf
17 páginas
101
Apuntes - Fisica-II-Formularios.pdf
13 páginas
87
14
Apuntes - Clase-5-Campo-Electrico.pdf
102
Apuntes - Clase-11-Campo-Magnetico.pdf
21 páginas
103
Apuntes - Clase-2-Gas-ideal.pdf
99
Ejercicios - Termodinamica.pdf
7 páginas
Apuntes - Clase-4-Maquinas-Termicas.pdf
97
Apuntes - Temas-Ondas-T10-T11-T12.pdf
33 páginas
140
Apuntes - Clase-7-Conductores.pdf
92
Apuntes - Clase-9-Circuitos-de-corriente-continua.pdf
90
Información
Recopilación de las fórmulas del tema 3