Ejercicios-biomecanica.pdf

tlimon

Física 2022-23

17 archivos·

Formulas-biomecanica-.pdf

1 página

Ejercicios-fluidos.pdf

10 páginas

BLOQUE-2-FLUIDOS.pdf

10 páginas

Formulas-fluidos.pdf

2 páginas

BLOQUE-3-TERMODINAMICA-Y-BIOENERGETICA.pdf

4 páginas

Practica-1-bioelectricidad.pdf

3 páginas

BLOQUE-1-BIOMECANICA.pdf

4 páginas

BLOQUE-5-ONDAS.pdf

10 páginas

BLOQUE-6.1-RADIACIONES-NO-IONIZANTES.pdf

12 páginas

BLOQUE-6.2-RADIACIONES-IONIZANTES.pdf

8 páginas

BLOQUE-4-BIOELECTRICIDAD.pdf

7 páginas

Unidades.pdf

3 páginas

Formulas-ondas.pdf

3 páginas

Ejercicios-bloque-5.pdf

6 páginas

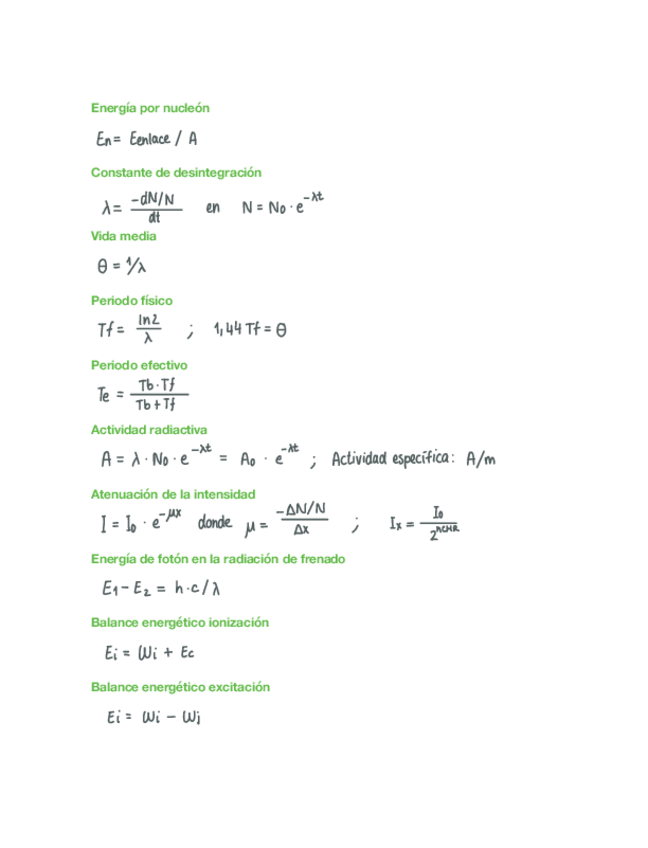
Formulario-radiaciones-ionizantes.pdf

2 páginas

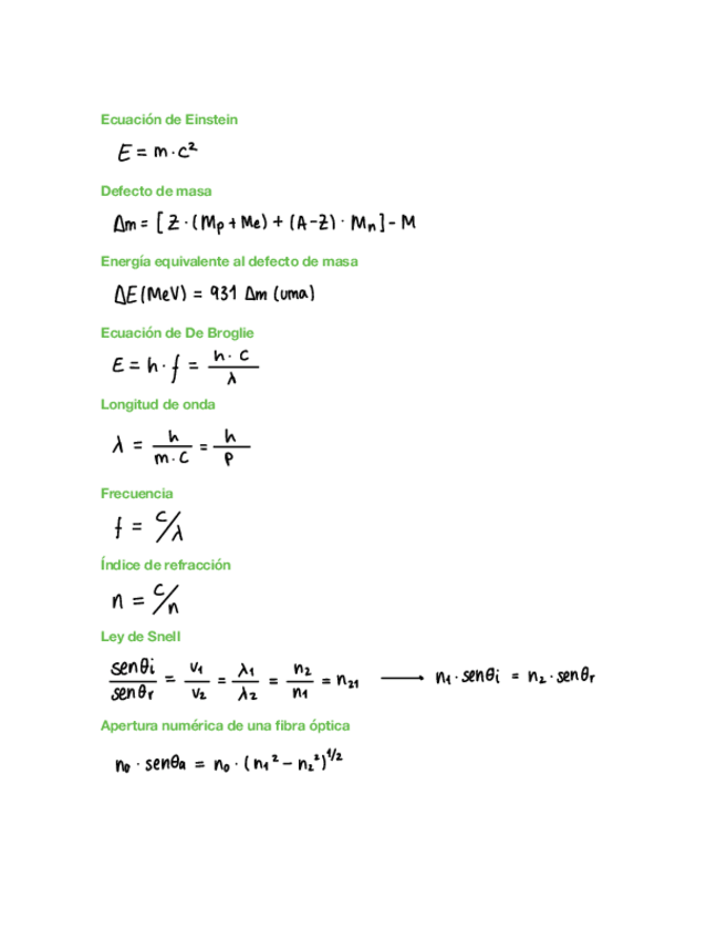
Formulario-radiaciones-no-ionizantes.pdf

2 páginas

Ejercicios-biomecanica.pdf

9 páginas

content_copy

Archivos recomendados