chevron_left
chevron_right
Todo
Apuntes
Preguntas
Ejercicios
Exámenes
Prácticas
Test
chevron_left
chevron_right

He publicado nuevos practicas de 1º Física I: Mecánica: Dosier-Laboratorio-fis-I.pdf

34 páginas

apuntes

-

FÍSICA I

He publicado nuevos apuntes de 1º Física I: Mecánica: FÍSICA I

INTRODUCCION-A-LA-MECANICA.pdf
Resumen-Tema-1.pdf
Cuestiones-tema-1.pdf
Problemas-Tema-2-Resueltos.pdf
Cuestiones-Adicionales-Resueltas.pdf

examenes

-

Exámenes Resueltos

Exámenes resueltos de física I

E4-Adicional-Resuelto.pdf
E3-Adicional-Resuelto.pdf
E2-Adicional-Resuelto.pdf
Primer-Parcial-2425-Resuelto-Credito-a-Castillo01.pdf
E5-Adicional.pdf
E7-Adicional.pdf

apuntes

-

Parcial 1

He publicado nuevos apuntes de 1º Física I: Mecánica: Parcial 1

tema-3.pdf
tema-1.pdf
tema-2.pdf

Ejercicios extra Fisica I

16 páginas

Apuntes y ejercicios tema 1, 2 y 3 Física I.

26 páginas

He publicado nuevos apuntes de 1º Física I: Mecánica: ejercicios-obligatorios-tema-3.pdf

3 páginas

He publicado nuevos apuntes de 1º Física I: Mecánica: ejercicios-obligatorios-tema-2.pdf

3 páginas

He publicado nuevos apuntes de 1º Física I: Mecánica: ejercicios-obligatorios-tema-1.pdf

2 páginas

He publicado nuevos apuntes de 1º Física I: Mecánica: tema-1.pdf.pdf

4 páginas
Anónimo

@Anónimo

He publicado nuevos apuntes de 1º Física I: Mecánica: Cuestiones-Tema-0-y-1.pdf

3 páginas

He publicado nuevos apuntes de 1º Física I: Mecánica: Apuntes-Academia-Tema-1.pdf

3 páginas

He publicado nuevos examenes de 1º Física I: Mecánica: Primer-parcial-Fisica-I.jpeg

Imagen

apuntes

-

Teoría y explicaciones

Teoría de los temas 1, 2, 3, 4, 5.

TEORIA-TEMA-2.pdf
TEORIA-TEMA-4.pdf
TEORIA-TEMA-5.pdf
TEORIA-TEMA-1.pdf
TEORIA-TEMA-3.pdf

ejercicios

-

Problemas Resueltos

Problemas resueltos paso a paso.

PROBLEMAS-TEMA-2.pdf
PROBLEMAS-TEMA-4.pdf
PROBLEMAS-TEMA-1.pdf
PROBLEMAS-TEMA-3.pdf
PROBLEMAS-TEMA-5.pdf

He publicado nuevos ejercicios de 1º Física I: Mecánica: problemas-propuestos-Tema-5.pdf

4 páginas

He publicado nuevos ejercicios de 1º Física I: Mecánica: problemas-propuestos-tema-3.pdf

4 páginas

He publicado nuevos ejercicios de 1º Física I: Mecánica: problemas-propuestos-tema-1.pdf

5 páginas

He publicado nuevos apuntes de 1º Física I: Mecánica: SOLUCIONES-CUESTIONES-ADICIONALES.pdf

1 página

ejercicios

-

PROBLEMAS RESUELTOS TEMA 5

He publicado nuevos ejercicios de 1º Física I: Mecánica: PROBLEMAS RESUELTOS TEMA 5

PROBLEMA-1-TEMA-5.pdf
PROBLEMA-2-TEMA-5.pdf
PROBLEMA-3-TEMA-5.pdf
PROBLEMA-4-TEMA-5.pdf
PROBLEMA-5-TEMA-5.pdf
PROBLEMA-6-TEMA-5.pdf

ejercicios

-

PROBLEMAS RESUELTOS TEMA 4

He publicado nuevos ejercicios de 1º Física I: Mecánica: PROBLEMAS RESUELTOS TEMA 4

PROBLEMA-1-TEMA-4.pdf
PROBLEMA-2-TEMA-4.pdf
PROBLEMA-3-TEMA-4.pdf
PROBLEMA-4-TEMA-4.pdf
PROBLEMA-5-TEMA-4.pdf
PROBLEMA-6-TEMA-4.pdf

ejercicios

-

PROBLEMAS FÍSICA

He publicado nuevos ejercicios de 1º Física I: Mecánica: PROBLEMAS FÍSICA

PROBLEMAS-TEMA-1.pdf
PROBLEMAS-TEMA-2.pdf
PROBLEMAS-TEMA-3.pdf
PROBLEMAS-TEMA-4.pdf
PROBLEMAS-TEMA-5.pdf

apuntes

-

TEORÍA FÍSICA

He publicado nuevos apuntes de 1º Física I: Mecánica: TEORÍA FÍSICA

TEORIA-TEMA-1.pdf
TEORIA-TEMA-2.pdf
TEORIA-TEMA-3.pdf
TEORIA-TEMA-4.pdf
TEORIA-TEMA-5.pdf

ejercicios

-

PROBLEMAS RESUELTOS TEMA 3

He publicado nuevos ejercicios de 1º Física I: Mecánica: PROBLEMAS RESUELTOS TEMA 3

PROBLEMA-1-TEMA-3.pdf
PROBLEMA-2-TEMA-3.pdf
PROBLEMA-3-TEMA-3.pdf
PROBLEMA-4-TEMA-3.pdf
PROBLEMA-5-TEMA-3.pdf
PROBLEMA-6-TEMA-3.pdf

He publicado nuevos ejercicios de 1º Física I: Mecánica: problemas-propuestos-tema-2.pdf

4 páginas

ejercicios

-

PROBLEMAS RESUELTOS TEMA 2

He publicado nuevos ejercicios de 1º Física I: Mecánica: PROBLEMAS RESUELTOS TEMA 2

PROBLEMA-1-TEMA-2.pdf
PROBLEMA-2-TEMA-2.pdf
PROBLEMA-3-TEMA-2.pdf
PROBLEMA-4-TEMA-2.pdf
PROBLEMA-5-TEMA-2.pdf
PROBLEMA-6-TEMA-2.pdf

He publicado nuevos ejercicios de 1º Física I: Mecánica: PROBLEMAS-RESUELTOS-TEMA-1.pdf

17 páginas

apuntes

-

PROBLEMAS RESUELTOS TEMA 1

He publicado nuevos apuntes de 1º Física I: Mecánica: PROBLEMAS RESUELTOS TEMA 1

PROBLEMA-1-TEMA-1.pdf
PROBLEMA-2-TEMA-1.pdf
PROBLEMA-3-TEMA-1.pdf
PROBLEMA-7-TEMA-1.pdf
PROBLEMA-8-TEMA-1.pdf
PROBLEMA-10-TEMA-1.pdf

He publicado nuevos apuntes de 1º Física I: Mecánica: Ejercicios-obligatorios-Tema-4.pdf

2 páginas

He publicado nuevos ejercicios de 1º Física I: Mecánica: Problemas-propuestos-Tema-4.pdf

4 páginas

Todos los ejercicios obligatorios del Tema 5

6 páginas

He publicado nuevos ejercicios de 1º Física I: Mecánica: TEMA-5-EJERCICIOS-OBLIGATORIOS.pdf

2 páginas

ejercicios

-

Problemas del Tema 5

Todos los problemas del Tema 5

FISICA-I-TEMA5-PROBLEMA1.pdf
FISICA-I-TEMA5-PROBLEMA2.pdf
FISICA-I-TEMA5-PROBLEMA3.pdf
FISICA-I-TEMA5-PROBLEMA4.pdf
FISICA-I-TEMA5-PROBLEMA5.pdf
FISICA-I-TEMA5-PROBLEMA6.pdf

He publicado nuevos ejercicios de 1º Física I: Mecánica: TEMA-4-EJERCICIOS-OBLIGATORIOS.pdf

3 páginas
Anónimo

@Anónimo

Apuntes Tema 5 Física sin contraseña - Estática de sistemas sólidos rígidos

35 páginas
Anónimo

@Anónimo

Práctica04 - Rozamiento y vuelco - Sin contraseña

22 páginas
Anónimo

@Anónimo

Práctica03 - Acciones interiores y flexión de vigas - Sin contraseña

15 páginas
Anónimo

@Anónimo

Práctica02 - Estructuras articuladas - Sin contraseña

17 páginas
Anónimo

@Anónimo

Práctica01 - Estática en el plano - Sin contraseña

17 páginas

ejercicios

-

Ejercicios obligatorios del Tema 4

Todos los ejercicios obligatorios del Tema 4

Tema-4.-Ejercicio-1.pdf
Tema-4.-Ejercicio-2.pdf
Tema-4.-Ejercicio-3.pdf
Tema-4.-Ejercicio-4.pdf
Tema-4.-Ejercicio-5.pdf
Tema-4.-Ejercicio-6.pdf

ejercicios

-

Problemas del Tema 4

Todos los problemas del Tema 4 resueltos

FISICA-I-TEMA4-PROBLEMA1.pdf
FISICA-I-TEMA4-PROBLEMA2.pdf
FISICA-I-TEMA4-PROBLEMA3.pdf
FISICA-I-TEMA4-PROBLEMA4.pdf
FISICA-I-TEMA4-PROBLEMA5.pdf
FISICA-I-TEMA4-PROBLEMA6.pdf
Anónimo

@Anónimo

Apuntes Tema 4 Física sin contraseña

33 páginas

Formulario Tema 4

2 páginas

He publicado nuevos apuntes de 1º Física I: Mecánica: formulario-parcial-1-pdf.pdf

3 páginas

He publicado nuevos apuntes de 1º Física I: Mecánica: Tema04DESBLOQUEADO.pdf

33 páginas

He publicado nuevos apuntes de 1º Física I: Mecánica: FormularioT4-g3y4DEASBLOQUEADO.pdf

6 páginas

He publicado nuevos apuntes de 1º Física I: Mecánica: FORMULARIO-TEMAS-1-2-Y-3.pdf

4 páginas

examenes

-

Problemas de Examenes del Primer Parcial

Problemas de exámenes del primer parcial

1er-parcial-Curso-2007-2008-Problema-1-RESUELTO.pdf
1er-parcial-Curso-2020-2021-Problema-1-RESUELTO.pdf
Examen-final-1er-parcial-Curso-2010-2011-Problema-1-RESUELTO.pdf

No se si estén todos correctos, espero que si. Cualquier cosa me podeis mandar mensaje¡¡¡

21 páginas

ejercicios

-

1ª ENTREGA - EJERCICIOS OBLIGATORIOS

He publicado nuevos ejercicios de 1º Física I: Mecánica: 1ª ENTREGA - EJERCICIOS OBLIGATORIOS

TEMA-0-EJERCICIOS-OBLIGATORIOS.pdf
TEMA-1-EJERCICIOS-OBLIGATORIOS.pdf
TEMA-2-EJERCICIOS-OBLIGATORIOS.pdf
TEMA-3-EJERCICIOS-OBLIGATORIOS.pdf

He publicado nuevos apuntes de 1º Física I: Mecánica: Ejercicion-Obligatorios-Fisica-T1-2-3.pdf

3 páginas

He publicado nuevos ejercicios de 1º Física I: Mecánica: Ejercicios-obligatorios-T-0-1-2.pdf

8 páginas

ejercicios

-

Ejercicios obligatorios del Tema 3

Todos los ejercicios obligatorios del Tema 3

Tema-3.-Ejercicio-1.pdf
Tema-3.-Ejercicio-2.pdf
Tema-3.-Ejercicio-3.pdf
Tema-3.-Ejercicio-4.pdf
Tema-3.-Ejercicio-5.pdf

ejercicios

-

Problemas del Tema 3

Todos los problemas del Tema 3

FISICA-I-TEMA3-PROBLEMA1.pdf
FISICA-I-TEMA3-PROBLEMA2.pdf
FISICA-I-TEMA3-PROBLEMA3.pdf
FISICA-I-TEMA3-PROBLEMA4.pdf
FISICA-I-TEMA3-PROBLEMA5.pdf
FISICA-I-TEMA3-PROBLEMA6.pdf

He publicado nuevos apuntes de 1º Física I: Mecánica: Tema-1-Fisica-I.pdf

6 páginas

He publicado nuevos apuntes de 1º Física I: Mecánica: Tema-4-Fisica-I.pdf

4 páginas

He publicado nuevos apuntes de 1º Física I: Mecánica: Tema-3-Fisica-I.pdf

5 páginas

He publicado nuevos apuntes de 1º Física I: Mecánica: Tema-2-Fisica-I.pdf

5 páginas

He publicado nuevos apuntes de 1º Física I: Mecánica: Tema-5-Fisica-I.pdf

6 páginas

ejercicios

-

Ejercicios obligatorios del Tema 2

Todos los ejercicios obligatorios del Tema 2

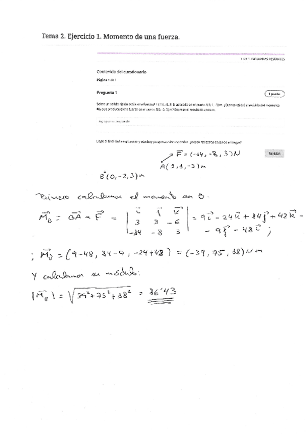
Tema-2.-Ejercicio-1.pdf
Tema-2.-Ejercicio-2.pdf
Tema-2.-Ejercicio-3.pdf
Tema-2.-Ejercicio-4.pdf
Tema-2.-Ejercicio-5.pdf
Tema-2.-Ejercicio-6.pdf