Elasticidad.pdf

2apuntes

APUNTES

14 archivos·

Cinematica-.pdf

3 páginas

Elasticidad.pdf

2 páginas

Dinamica-del-solido-rigido.pdf

4 páginas

sonido-.pdf

1 página

energias.pdf

2 páginas

estatica.pdf

1 página

dinamica-de-rotacion.pdf

3 páginas

movimiento-circular.pdf

4 páginas

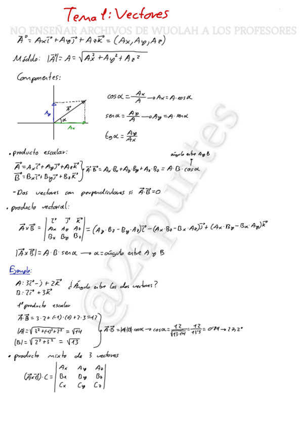
vectores.pdf

2 páginas

Tema-elasticidad.pdf

1 página

centro-de-masas-.pdf

1 página

oscilaciones-.pdf

2 páginas

movimiento-circular-y-cantidad-de-movimiento.pdf

1 página

ondas-.pdf

2 páginas

content_copy

Archivos recomendados