PSANCHEZN
Ejercicios Resueltos Tema 4 Física I
Tema 4 Ej (1-5).pdf
7 páginas
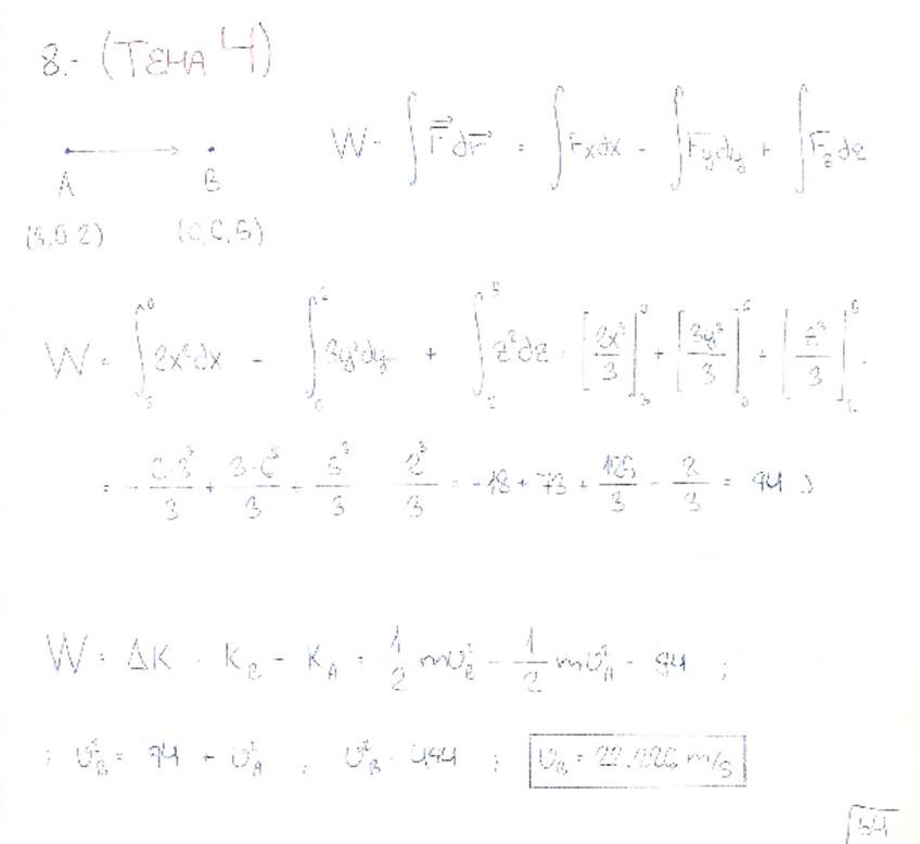
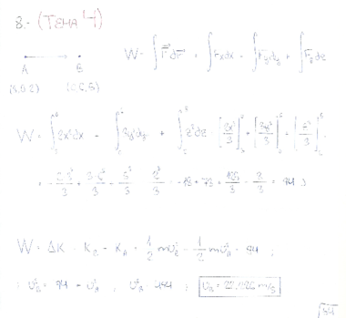
Tema 4 Ej 8.pdf
1 página
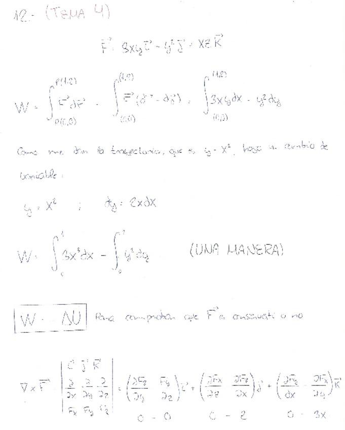
Tema 4 Ej 12.pdf
Tema 4 Ej 6.pdf
3 páginas
Prácticas - PRACTICA-4-MRUA.pdf
pdf
30 páginas
704
4
Exámenes - Examen Física.pdf
4 páginas
143
0
Prácticas - PRÁCTICA 6_Péndulo_simple.pdf
99
Prácticas - PRÁCTICA 8_Ley de Hooke (1).pdf
6 páginas
135
Apuntes - Resumen Completo y Formulario - FIS1.pdf
94
5
Prácticas - PRÁCTICA 4_Rueda de Maxwell (1).pdf
14 páginas
103
1
Ejercicios - Tema 3 - Ej (1-6).pdf
95
Ejercicios - Tema-3 DINAMICA-Problemas-Ejercicios + SEMINARIOS.pdf
13 páginas
116
2
Apuntes - Los-Diozes-Fisica-I.pdf
52 páginas
194
Ejercicios - Tema-5 SOLIDO RIGIDO-Problemas-Ejercicios + SEMINARIOS.pdf
12 páginas
109
Ejercicios - Tema 2 - Ej (1-15) y 19.pdf
16 páginas
91
Prácticas - PRÁCTICA 7_Péndulo_inclinado (2).pdf
67
Apuntes - Tema 4 Ej (1-5).pdf
83
Prácticas - PRÁCTICA 3_Plano inclinado.pdf
108
Apuntes - Tema 2.pdf
100
Ejercicios - Tema-2CINEMATICA-Problemas-Ejercicios + SEMINARIOS.pdf
11 páginas
93
3
Ejercicios - TEMA 2 - DINAMICA.pdf
35 páginas
54
Prácticas - PRÁCTICA 4 (9.5).pdf
73
Prácticas - practica 1.docx
docx
25
Prácticas - PRACTICA-5.docx
17