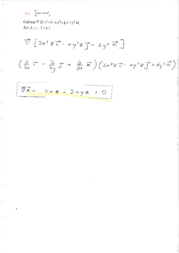
Solucion-ejercicio-2.pdf
Portada
Asignatura
account_balance
Grado en Ingeniería Eléctrica (UNICAN)
Fecha de subida
26 sep 2021
Categoría
ejercicios
Etiquetas
content_copy
Portada
Asignatura
Grado en Ingeniería Eléctrica (UNICAN)
Fecha de subida
26 sep 2021
Categoría
ejercicios
Etiquetas