zamorano01
Exámenes 2019-2020
2019-20Problema2.pdf
1 página
2019-20Problema1.pdf
2 páginas
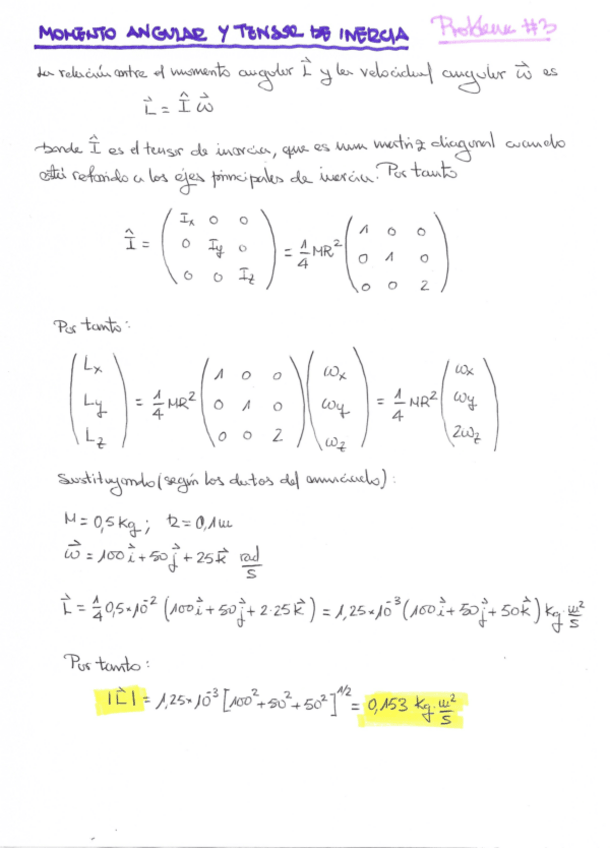
2019-20Problema3.pdf
2019-20Problema4.pdf
2019-20-EXAMEN-SEGUNDA-PARTE-FISICA-1.pdf
Apuntes - 2019-20-EXAMEN-SEGUNDA-PARTE-FISICA-1.pdf
pdf
9
0
Apuntes - RESUMEN-TEMA-1.pdf
4 páginas
5
Apuntes - 2019-20Problema2.pdf
6
Apuntes - problema-6.pdf
3 páginas
8
Apuntes - Problema1.pdf
2
Apuntes - Problema3.pdf
Apuntes - 2018-19Problema1.pdf
Apuntes - Problema3-Febrero.pdf
Apuntes - 2018-19Problema2.pdf
3
Apuntes - 2019-20Problema1.pdf
Apuntes - 2019-20Problema3.pdf
Apuntes - 2019-20Problema4.pdf
1
Apuntes - Tema-5.pdf
43 páginas
Apuntes - Problemas-Tema-VI.pdf
6 páginas
Apuntes - Problema-4.pdf
Apuntes - Problema-614c.pdf
Apuntes - Problema-611.pdf
7
Apuntes - TEORIA-FIS-I.pdf
8 páginas
Apuntes - Problema4-Febrero.pdf
Apuntes - Problema2.pdf