Anónimo
examenes física 1
control-fisica.pdf
2 páginas
Examen-final-Enero-22.pdf
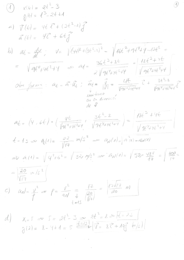
Solucion-examen-final-enero.pdf
5 páginas
Examen-junio.pdf
Solucion-examen-final-junio-22.pdf
SOLUCIONES-CONTROL-ITI-3-NOVIEMBRE.pdf
4 páginas
Exámenes - Solucion-final-enero.pdf
pdf
6 páginas
183
10
Exámenes - Examen-final-Enero-22.pdf
142
5
Exámenes - Examen-junio.pdf
125
1
Exámenes - control-fisica.pdf
141
3
Exámenes - Solucion-examen-final-enero.pdf
124
4
Apuntes - Memoria-Fisica.pdf
10 páginas
146
2
Exámenes - Solucion-examen-final-junio-22.pdf
98
Apuntes - Resumen-T5-SIST.PARTICULAS-Y-SOLIDO-RIGIDO.pdf
3 páginas
82
Exámenes - Examen-Final-Enero.pdf
8 páginas
61
Apuntes - T6-OSTILACIONES-Y-ONDAS230211132035.pdf
65
Exámenes - SOLUCIONES-CONTROL-ITI-3-NOVIEMBRE.pdf
104
Ejercicios - Cinematica-resueltos.pdf
24 páginas
62
Exámenes - solucionesenero1516.pdf
92
Apuntes - T2-CINEMATICA230211131147.pdf
59
Exámenes - Examen-noviembre.pdf
49
Apuntes - Fisica-I.pdf
68
Apuntes - RESUMEN-FLUIDOS-COMPLETO.pdf
55
Apuntes - T8-DINAMICA-DE-FLUIDOS221224171949.pdf
1 página
0
Exámenes - solucionexamen-junio.pdf
9 páginas
Exámenes - Examen-extraordinario-Fisica-I.pdf
41