Portada
Asignatura
Grado en Ingeniería en Diseño Industrial y Desarrollo del Producto (US)
Física I
Fecha de subida
15 ene 2016
Categoría
apuntes
Etiquetas
Prácticas - momentos de inercia y pendulo.pdf
pdf
8 páginas
301
0
Apuntes - APUNTES FÍSICA.pdf
49 páginas
240
Apuntes - Apuntes segundo parcial.pdf
50 páginas
162
3
Apuntes - tema-7-termodinamica-conceptos.pdf
7 páginas
41
1
Prácticas - Práctica calor específico1.pdf
5 páginas
191
Prácticas - fjr PRACTICA II momento inercia.pdf
6 páginas
129
Exámenes - Exámenes.rar
rar
15
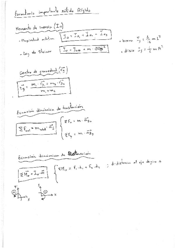
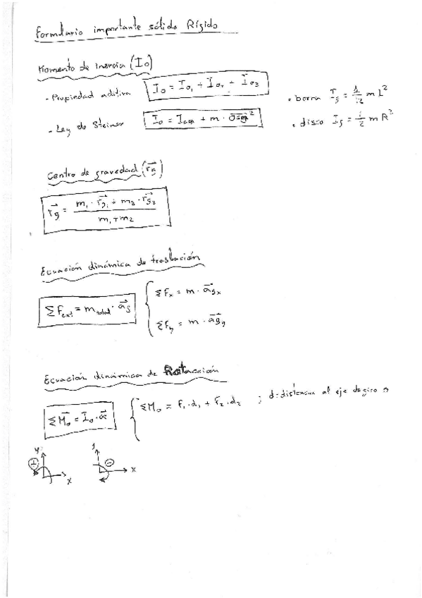
Apuntes - formulario.pdf
1 página
127
Ejercicios - BOLETIN-CINEMATICA.pdf
15 páginas
139
9
Prácticas - fjr PRACTICA III calor especifico del agua.pdf
3 páginas
136
Exámenes - examen_2_parcial.pdf
0 páginas
95
Exámenes - 2aConv.-2020.pdf
79
Apuntes - TEMA 5.pdf
10 páginas
84
Apuntes - TEMA 4.pdf
18 páginas
93
2
Ejercicios - Solido rigido hecho.pdf
16 páginas
128
Ejercicios - boletin termo.pdf
125
Exámenes - Examenes-resueltos-Bernardo.pdf
138
6
Exámenes - 1 parcial solucionado (15_11_14).pdf
12 páginas
86
Exámenes - 2º parcial solucionado 14-15(19-01-15).pdf
11 páginas
91
Ejercicios - BOLETINES-1-PARCIAL.pdf
40 páginas
126
5