Anónimo
Portada
Asignatura
Grado en Ingeniería Electrónica Industrial y Automática (UC3M)
Física I
Fecha de subida
27 sep 2019
Categoría
ejercicios
Etiquetas
Apuntes - Practica-Laboratorio-Calculo-de-error.pdf
pdf
7 páginas
436
2
Apuntes - Practica-calor-de-fusion-del-hielo.pdf
8 páginas
351
0
Apuntes - Practica-Laboratorio-Ley-de-Hooke.pdf
13 páginas
323
3
Apuntes - Tema-4-Sistema-de-particulas.pdf
22 páginas
129
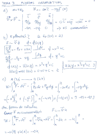
Apuntes - Tema-3-Fuerzas-conservativas-y-no-conservativas.pdf
23 páginas
119
Apuntes - Tema-2-dinamica-de-una-particula.pdf
29 páginas
107
Apuntes - Tema-1-Cinematica-de-una-particula-y-movimiento-relativo.pdf
100
Prácticas - Movimiento-circular.pdf
10 páginas
151
Prácticas - Minimos-Cuadrados.xls
xls
31
Exámenes - Examenes-Poleas-Cuerpos-rodantes-Choques-y-Explosiones.pdf
0 páginas
144
Prácticas - excel-de-minimos.xlsx
xlsx
68
Exámenes - Examen-Final-Enero-2020.pdf
111
Apuntes - Ejercicios-Tema4.pdf
2 páginas
51
Ejercicios - Fisica-I-Practica.pdf
110 páginas
177
Apuntes - Ejercicios-Tema-3.pdf
3 páginas
52
Exámenes - Examenes-Termodinamica-Y-Entropia.pdf
90
Exámenes - Examen-final-enero-2021.pdf
139
Apuntes - Fisica-I.pdf
56 páginas
50
Ejercicios - Problems-lesson-10-20152016.docx
docx
15
Exámenes - ExamenesPasados09-20.pdf
139 páginas
89
1