marcossmtez
Resumen temas Física I
CURSO COMPLETO
Tema-1-Vectores.pdf
1 página
Tema-2-Cinematica-de-la-particula.pdf
Tema-3-Cinematica-del-solido.pdf
Tema-4-Movimiento-relativo.pdf
Tema-5-Dinamica-I.pdf
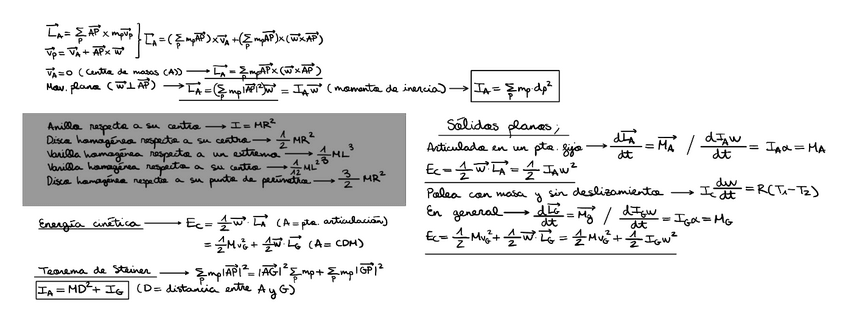
Tema-6-Dinamica-del-solido.pdf
Apuntes - Fisica-I-curso-completo-apuntes-muy-resumidos.pdf
pdf
7 páginas
45
0
Apuntes - Tema-1-Vectores.pdf
20
Apuntes - Tema-6-Dinamica-del-solido.pdf
18
Apuntes - Tema-5-Dinamica-I.pdf
9
Apuntes - Tema-1.-Vectores.pdf
3 páginas
1
Apuntes - Tema-4-Movimiento-relativo.pdf
5
Apuntes - Tema-4.-Movimiento-relativo.pdf
2 páginas
Apuntes - Tema-2-Cinematica-de-la-particula.pdf
Apuntes - Tema-3-Cinematica-del-solido.pdf
6
Apuntes - Tema-2.-Cinematica-de-la-particula.pdf
7
Apuntes - Tema-3.-Cinematica-del-solido.pdf
Apuntes - Apuntes-completos.pdf
15 páginas
Exámenes - FISICAIprueba22425.pdf
10