Carmenlopmar
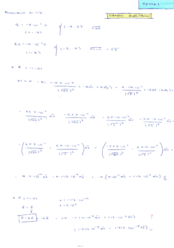
ProblemasResueltos-Tema1.pdf
14 páginas
Prácticas - Ley de Faraday.docx
docx
45
0
Ejercicios - Serway Solution 7ed.rar
rar
10
Prácticas - Circuito.pdf
pdf
5 páginas
34
Prácticas - Resistencias.pdf
36
Prácticas - RC Y RL.pdf
3 páginas
31
Prácticas - TRANSITORIOS EN CIRCUITOS RC Y RL.docx
4
Prácticas - Circuitos formados por resistencias.pdf
6 páginas
37
Prácticas - Condensadores.pdf
4 páginas
Apuntes - Resumen Tema 6.pdf
2 páginas
23
Apuntes - Fisica-II-Tema-1-Campo-electrico-por-cargas-puntuales.pdf
28
Prácticas - Faraday.pdf
38
Prácticas - Medida de resistencias pequeñas.docx
3
Apuntes - resumen-completo.pdf
34 páginas
Apuntes - Fisica-II.pdf
19 páginas
64
Prácticas - CONDENSADORES DE CARAS PLANO-PARALELAS.docx
2
Apuntes - Resumen Tema 8.pdf
Prácticas - Circuitos formados por resistencias.docx
5
Ejercicios - ProblemasResueltos-Tema1.pdf
Prácticas - PRACTICARES.pdf
9 páginas
35
Exámenes - FIS-II - Parcial II - 2013-14.pdf