Portada
Asignatura
Grado en Química (US)
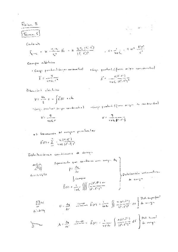
Física II
Fecha de subida
18 sep 2018
Categoría
apuntes
Etiquetas
Apuntes - Física II.pdf
pdf
19 páginas
189
5
Exámenes - Examen Final Junio 2017 Resuelto.pdf
5 páginas
178
2
Apuntes - apuntes.docx
docx
17
0
Ejercicios - Boletines de problemas y soluciones9 fisica II.pdf
20 páginas
165
Exámenes - 1213_c1t1.pdf
2 páginas
196
Exámenes - 2014.pdf
4 páginas
110
Apuntes - Practicas-Fisica-II.pdf
16 páginas
45
1
Exámenes - Examen septiembre 2017 y soluciones.pdf
Exámenes - Exámenes 1.rar
rar
3
Exámenes - Examenes.pdf
12 páginas
91
Ejercicios - Problemas-Tema-1-y-2.pdf
14 páginas
209
9
Exámenes - Junio 2011.pdf
100
Exámenes - Examen final.pdf
135
Exámenes - Enunciados y Soluciones del Examen Previo Junio 2017.pdf
119
86
Exámenes - recopilacion-examenes.pdf
52 páginas
167
Exámenes - dipolos.docx
8
Exámenes - 1213_c2t1.pdf
3 páginas
114
Exámenes - Examen-previo-junio-2018-resuelto.pdf
122
4
Exámenes - 1112_septiembre.pdf
105