AbiLarie
Ejercicio Resueltos Tema 6 Inducción magnética
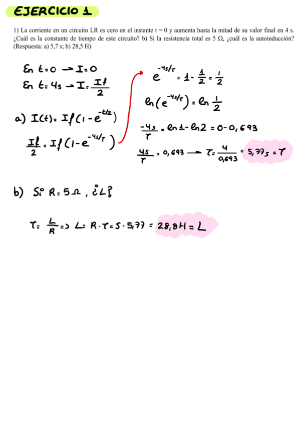
Ejercicio-Resueltos-Tema-6-Induccion-magnetica.pdf
12 páginas
Prácticas - Practica-fisica-em.pdf
pdf
7 páginas
40
0
Prácticas - Microondas.pdf
6 páginas
35
1
Apuntes - FISICA-II.pdf
37 páginas
22
Prácticas - PRACTICA-FISCA-II-INTERFERENCIAS.pdf
5 páginas
24
Ejercicios - Ejercicios-resueltos-tema-9-y-10-movimiento-ondulatorio-ondas-mecanicas-y-electromagneticas.pdf
13
Ejercicios - Ejercicios-extra-tema-5-campos-magnetico.pdf
9 páginas
11
Ejercicios - Ejercicios-Resueltos-Tema-8-Corriente-Alterna.pdf
11 páginas
10
Ejercicios - Ejercicio-Resueltos-Tema-6-Induccion-magnetica.pdf
Ejercicios - Ejercicios-resueltos-tema-7-Magnetismo-en-la-materia.pdf
20
Ejercicios - Ejercicios-resueltos-tema-5-Campo-magnetico.pdf
10 páginas
Prácticas - Practica-virtual.pdf
15 páginas
27
Apuntes - FORMULARIO-SEGUNDO-PARCIAL-FISICA-II.pdf
9
Apuntes - Sin-Subrayar-FISICA-II.pdf
15
Ejercicios - Ejercicios-Segundo-Parcial-FISICA-II.pdf
23 páginas
8
Exámenes - Fisica-II-1er-parcial.pdf
5
Ejercicios - Ejercicio-resueltos-tema-1y2.pdf
14 páginas
3
Ejercicios - Ejercicios-Resueltos-Tema-3.pdf
2