Sesion-23-fisica.pdf

A350_

Ejercicios del temario resueltos

15 archivos·

Iré subiendo los ejercicios de trabajo autónomo que voy haciendo de las diapositivas, pero no estarán todos y pueden tener errores

Ejercicios-sesion-2.pdf

2 páginas

Ejercicios-sesion-3.pdf

2 páginas

Sesion-6-fisica.pdf

3 páginas

Sesion-9-fisica.pdf

2 páginas

Sesion-10-fisica.pdf

2 páginas

Sesion-20-fisica.pdf

1 página

Sesion-21-fisica.pdf

4 páginas

ejs-2o-parcial-kirchoff.pdf

1 página

Sesion-23-fisica.pdf

1 página

Sesion-25-fisica.pdf

1 página

Sesion-32-fisica.pdf

1 página

Sesion-31-fisica.pdf

2 páginas

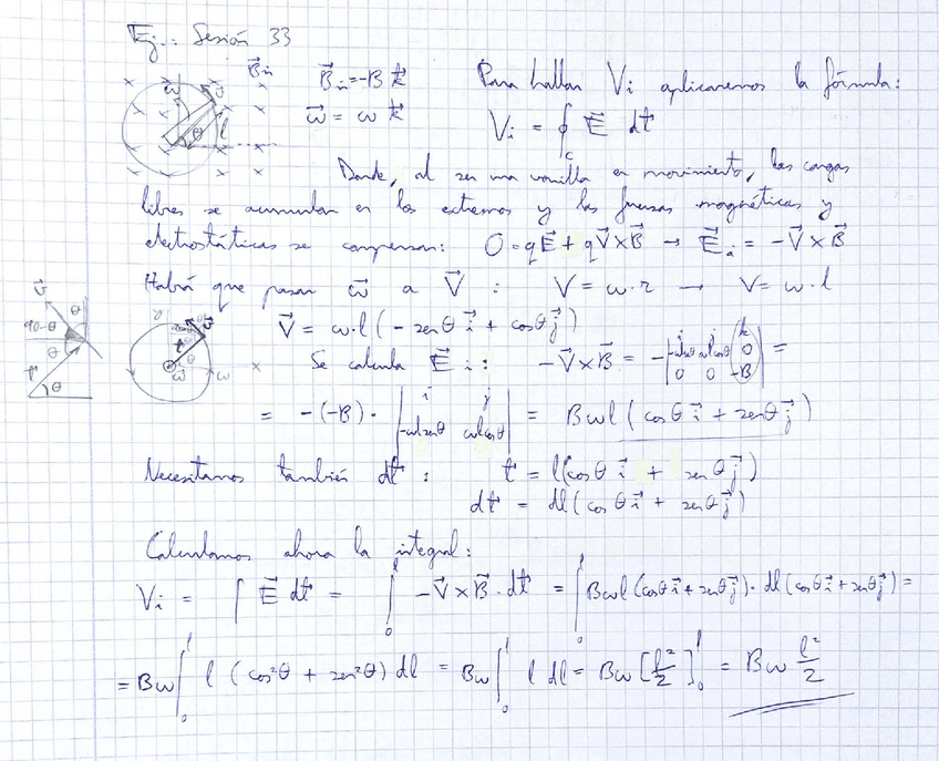
Sesion-33-fisica.pdf

1 página

Sesion-35-fisica.pdf

1 página

Sesion-37-fisica.pdf

1 página

content_copy

Archivos recomendados