Portada
Asignatura
Grado en Ingeniería Electrónica, Robótica y Mecatrónica (US)
Física II
Fecha de subida
07 may 2015
Categoría
apuntes
Información
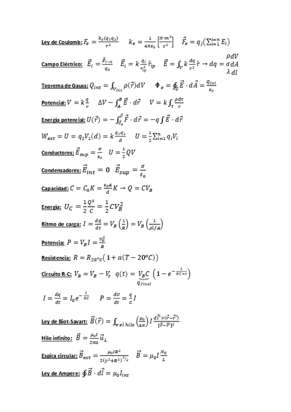
formulario permitido para el primer bloque de fisica 2
Etiquetas
Apuntes - Boletines.pdf
pdf
66 páginas
125
0
Apuntes - formulario_examen_1.pdf
1 página
77
Apuntes - Formulario 2º parcial.pdf
2 páginas
66
Exámenes - 1Parcial_GIERM_Resuelto.pdf
8 páginas
68
Apuntes - FORMULARIO-2.pdf
9 páginas
84
2
Apuntes - FORMULARIO-1.pdf
6 páginas
78
1
Apuntes - FORMULARIO.pdf
11 páginas
89
Apuntes - Formulario-2Parcial210602232557.pdf
14 páginas
93
Apuntes - Electricidad y magnetismo - Raymond A. Serway - - 3ed_Sol.pdf
0 páginas
44
Apuntes - Física II - Apuntes de clase.pdf
13 páginas
39
Exámenes - RESUELTOS-PRIMEROS PARCIALES.pdf
16 páginas
38
5
Ejercicios - problemas_resueltos_Boletines-primer-parcial.pdf
33 páginas
Prácticas - Práctica 1 (completa-a lápiz).pdf
5 páginas
115
Exámenes - 2-parciales-resueltos.pdf
7 páginas
43
Apuntes - 2.pdf
3 páginas
79
Exámenes - 2Parcial_GIERM_Resuelto.pdf
32
Apuntes - Fundamentos-De-Electrostatica.pdf
19 páginas
Apuntes - Condensadores.pdf
Apuntes - Formulas.pdf
4 páginas
52
Apuntes - Electricidad y magnetismo - Raymond A. Serway - 3ed.pdf
30
Información
formulario permitido para el primer bloque de fisica 2