Nil_Molinero
Formulario-Ondas.pdf
2 páginas
Apuntes - Campo-Magnetico-Formulario.pdf
pdf
1 página
2
0
Apuntes - Campo-Electrico-Formulario.pdf
Apuntes - Camp-Gravitatori.pdf
11 páginas
Apuntes - Fenomens-Periodics-Part1.pdf
8 páginas
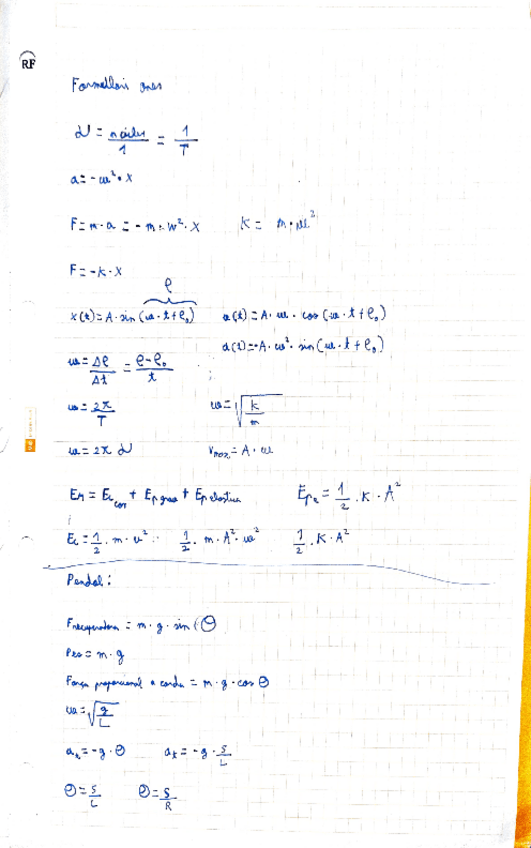
Apuntes - Formulario-Ondas.pdf
Apuntes - Fenomens-Periodics-Part2.pdf
23 páginas
Apuntes - Formulario-Fisica-Nuclear.pdf
Apuntes - Formulario-Fisica-Cuantica.pdf
Apuntes - Formulario-Campo-Gravitatorio.pdf
Apuntes - Fisica-Quantica.pdf
10 páginas
Apuntes - Fisica-Nuclear.pdf
9 páginas
1