Illo_kbesa
Todos los ejercicios corregidos, os podéis fiar.
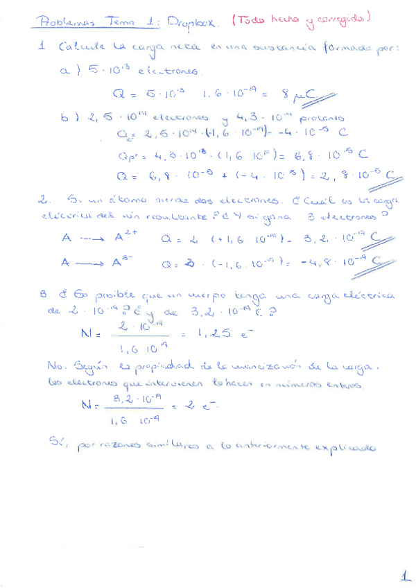
Problemas Tema I Fisica II.pdf
10 páginas
Prácticas - Practica3Cargaydescargadeunconden-1.doc
doc
94
0
Ejercicios - Ejercicios-Resueltos-Ley-de-Ampere2.pdf
pdf
17 páginas
123
1
Exámenes - examen primer parcial.pdf
1 página
148
Ejercicios - Problemas Resueltos Tema 5 - Física II.pdf
16 páginas
131
Apuntes - Apuntes Fisica II Temario Completo Con Ejercicios- Ejemplos Y Problemas Resueltos.pdf
126 páginas
66
Test - Test-de-Ondas.pdf
6
Prácticas - Práctica 3. Carga y descarga de un condensador (1).pdf
8 páginas
160
Apuntes - Formulario-Fisica2.pdf
2 páginas
143
5
Ejercicios - Relación de problemas - T.Gauss.pdf
95
Exámenes - 2-parcial-fisica-II.pdf
3 páginas
135
Ejercicios - Integracion a la Ley de Coulomb.pdf
15 páginas
81
Exámenes - Problemas-Campo-Electrico-y-Potencial.pdf
28 páginas
97
4
Exámenes - soluciones del primer parcial.pdf
98
Ejercicios - Problemas Tema I Fisica II.pdf
70
Prácticas - Práctica 1.A. Medidas de la conductividad eléctrica de metales.pdf
11 páginas
109
Prácticas - Práctica 4 Oscilaciones.pdf
4 páginas
74
Prácticas - Práctica 3. Carga y descarga condensador.docx
docx
25
Apuntes - Apuntes-temas-1-al-4.pdf
0 páginas
124
Ejercicios - TODOS-LOS-SEMINARIOS.pdf
79 páginas
71
2
Prácticas - Práctica 1.B. Caracterización de medios dieléctricos.pdf
64