Malluc01
Resúmenes de fórmlas
Bachillerato de Ciencias y Tecnología
Movimiento-ondulatorio.pdf
1 página
Fisica-moderna.pdf
Campo-electrico.pdf
Campo-magnetico.pdf
2 páginas
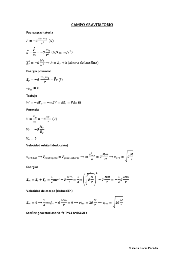
Campo-gravitatorio.pdf
Optica-fisica-y-geometrica.pdf
3 páginas
Apuntes - Optica-fisica-y-geometrica.pdf
pdf
31
0
Apuntes - apuntes-tema-3.pdf
10 páginas
32
Apuntes - Todas-las-formulas-del-curso.pdf
21
4
Apuntes - Campo-gravitatorio.pdf
15
Apuntes - Fisica-moderna.pdf
9
Apuntes - Movimiento-ondulatorio.pdf
18
Apuntes - Campo-electrico.pdf
14
Apuntes - PRUEBAS-EBAU-RESUELTAS-1.pdf
33 páginas
30
Apuntes - apuntes-tema-5.pdf
16
Apuntes - apuntes-tema-6.pdf
12
Apuntes - Fisica-.pdf
18 páginas
Apuntes - Campo-magnetico.pdf
Apuntes - apuntes-tema-1.pdf
12 páginas
Apuntes - apuntes-tema-4.pdf
Apuntes - apuntes-tema-2.pdf
20 páginas
6
Apuntes - Fisica-Marina-1.pdf
Apuntes - fisica-campo-electrico.pdf
17
Apuntes - FISICA-1-EVALUCACION-CAMPO-GRAVITATORIO-Y-ONDAS.jpg
jpg
1
Apuntes - CAMPO-MAGNETICO-1.pdf
5 páginas
Apuntes - fisica5.pdf
3