st3llar1s
Resúmenes FÍSICA II
Resumen-Express-TEMA-1-CARGA-Y-CAMPO-ELECTRICO.pdf
4 páginas
Resumen-Express-TEMA-2-LEY-DE-GAUSS.pdf
3 páginas
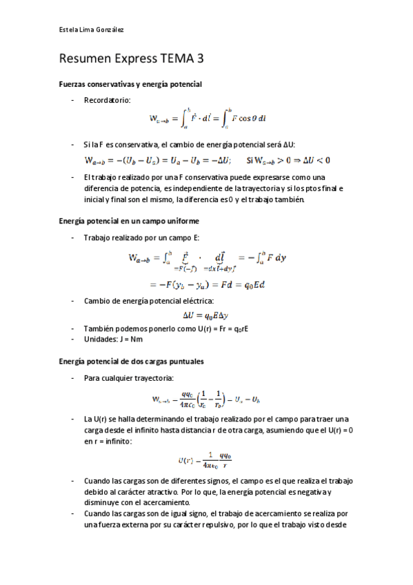
Resumen-Express-TEMA-3-POTENCIAL-ELECTRICO.pdf
5 páginas
Resumen-Express-TEMA-4-CAPACITANCIA-Y-DIELECTRICOS.pdf
Apuntes - Apuntes-fisica-II.pdf
pdf
18 páginas
67
0
Apuntes - recopilacion-exames.pdf
74 páginas
57
2
Apuntes - Resumen-Express-TEMA-1-CARGA-Y-CAMPO-ELECTRICO.pdf
71
1
Apuntes - Resumen-Express-TEMA-4-CAPACITANCIA-Y-DIELECTRICOS.pdf
44
Prácticas - FI2_P1_Condensadores.pdf
7 páginas
52
Apuntes - Resumen-Express-TEMA-2-LEY-DE-GAUSS.pdf
54
Apuntes - Resumen-Express-TEMA-3-POTENCIAL-ELECTRICO.pdf
46
Apuntes - Resumen-Campo-Magnetico-2.pdf
1 página
33
Apuntes - Resumen-Campo-Magnetico-3.pdf
26
Apuntes - Resumen-Campo-Magnetico-4.pdf
2 páginas
27
Apuntes - Resumen-Campo-Magnetico-1.pdf
Exámenes - ExFII2022-23MayoP1P2v23-Sol.pdf
29
Exámenes - TEST1o-ParcialFisica22022.pdf
30
Apuntes - Teoria-de-errores.pdf
10 páginas
25
Exámenes - ProblemasParcialesAvalContinua2022.pdf
Exámenes - ProblemasPrimerParcialFisica22022.pdf
Exámenes - ExFII2022-23MayoRECAsoldef.pdf
21
Exámenes - ExFII2022-23MayoTCv2soldef.pdf
24
Exámenes - ExFII2022-23MayoP1P2v13-Sol.pdf
18
Apuntes - apuntes-temas-1-6-prof-jose-luis-fernandez.pdf
143 páginas
31