Tema 3.-Capacidad-y-dielectricos.pdf

user_4044915

EJERCICIOS (1-10) RESUELTOS

10 archivos·

Aqui teneis todos los ejercicios resueltos, desde el Tema 1 al 10.

Tema-1.-Campo-electrico.pdf

6 páginas

Tema-2.-Potencial-electrico.pdf

3 páginas

Tema 3.-Capacidad-y-dielectricos.pdf

4 páginas

Tema-4.-Circuitos-de-Corriente-Continua.pdf

7 páginas

Tema-5.-Campo-electrico.pdf

2 páginas

Tema-6.Fuentes-del-Campo-Magnetico.pdf

3 páginas

Tema-7.-Campos-electromagneticos-variables-en-el-tiempo.pdf

3 páginas

Tema-8.-Circuitos-de-Corriente-Alterna.pdf

3 páginas

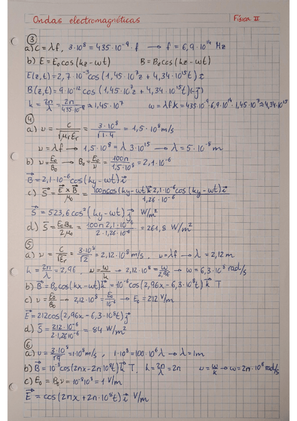
Tema-9.-Ondas-electromagneticas.pdf

2 páginas

Tema-10.-Fundamentos-de-Optica.pdf

3 páginas

content_copy

Archivos recomendados