angelupc
Trabajo magnetismo
Enunciado.pdf
2 páginas
Magnetismo-en-la-Materia.pdf
3 páginas
PARTE-A.pdf
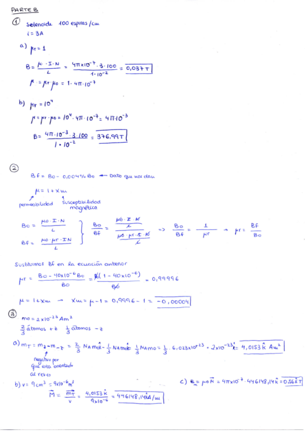
PARTE-B.pdf
1 página
Prácticas - PRACTICA-1.pdf
pdf
5 páginas
103
1
Prácticas - PRACTICA-2.pdf
9 páginas
108
Apuntes - CAMPO-MAGNETICO.pdf
11 páginas
49
2
Prácticas - PRACTICA-5.pdf
7 páginas
84
0
Prácticas - PRACTICA-4.pdf
6 páginas
64
Trabajos - Entregable-3.pdf
40
Prácticas - PRACTICA-3.pdf
47
Trabajos - Entregable-4.pdf
43
Trabajos - Entregable-2.pdf
35
Trabajos - Magnetismo-en-la-Materia.pdf
24
Apuntes - Tema1-Campoelectrico.pdf
25
Trabajos - PARTE-B.pdf
Exámenes - 1PFisII2122.pdf
23
Prácticas - Practica-1-Reflexion-y-Refraccion-Wuolah-Premium.pdf
Apuntes - resumen-Tema-1Campo-Electrico.pdf
15
Exámenes - 2PFisII1920sol.pdf
14 páginas
11
Exámenes - 2PFisII2021sol.pdf
12
Exámenes - sol1PFisicaII202021.pdf
14
Trabajos - PARTE-A.pdf
19
Apuntes - Tema2campomagnetico.pdf
8 páginas
16