Lisa12
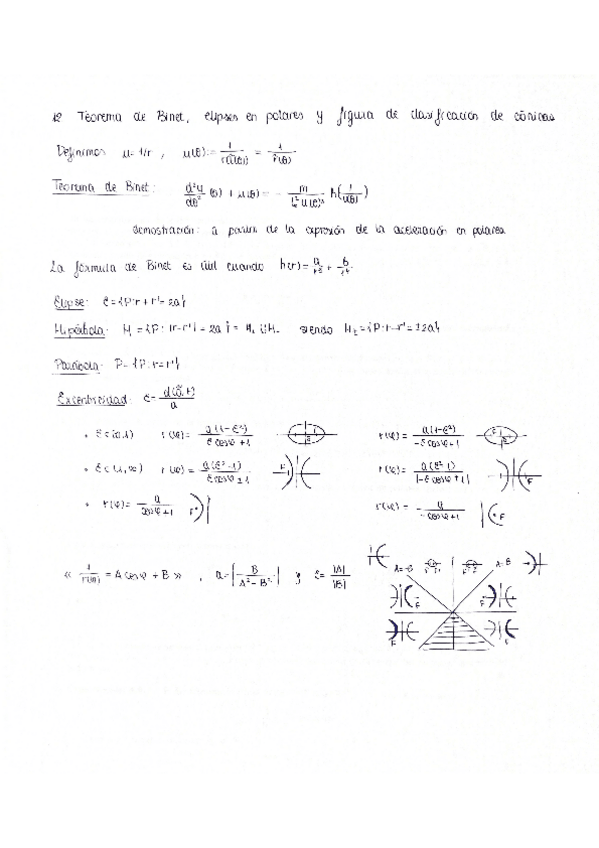
12 Teorema de Binet.pdf
5 páginas
Apuntes - Física teoría primer parcial.pdf
pdf
99 páginas
47
0
Exámenes - Física controles parciales.pdf
13 páginas
30
Apuntes - 1 Ecuaciones de Lagrange vía el cálculo de variaciones.pdf
8 páginas
28
Apuntes - Física teoría segundo parcial.pdf
162 páginas
31
1
Apuntes - 8 Energías cinética y potencial.pdf
6 páginas
12
Apuntes - 4 Ecuaciones de Hamilton.pdf
7 páginas
17
Apuntes - Mem-Tema1.pdf
24 páginas
19
Apuntes - F_I-APU-ETSIA-Apuntes Conde.pdf
131 páginas
21
Apuntes - 4 Teorema de Galileo.pdf
3 páginas
Apuntes - 12 Teorema de Binet.pdf
10
Apuntes - 2 Principio de Fermat.pdf
11 páginas
13
Apuntes - 6 Sólido-rígido_ Matriz de inercia.pdf
8
Apuntes - 10 Criterio de existencia de periodicidad.pdf
11
Apuntes - 1 Expresión de los vectores posición velocidad y aceleración.pdf
20
Apuntes - 11 Campos centrales conservativos.pdf
10 páginas
Apuntes - F_I-APU-ETSIA-Física General I.pdf
443 páginas
Apuntes - 15. Ecuación de Schrödinger. Justificación de la ecuación. Paquete de ondas.pdf
16 páginas
Apuntes - 11.Cuerda infinita. Transformada de Fourier.pdf
9
Apuntes - 2 Movimiento sobre una curva dada.pdf
Apuntes - 8 Sólido rígido_ Ángulos de Euler. Rotación de un sólidosimétrico.pdf