Física: Mecánica y Ondas

chevron_left
chevron_right
Todo
Apuntes
Ejercicios
Exámenes
Otros
Prácticas
publication
Trabajos
chevron_left
chevron_right

ejercicios

-

(F) Hojas de ejercicios 2025-26

He publicado nuevos ejercicios de 2º Física: Mecánica y Ondas: (F) Hojas de ejercicios 2025-26

Hoja-2.-Dinamica.pdf
Hoja-3.-Momento-angular.-Leyes-de-conservacion.pdf

apuntes

-

(F) Resúmenes 2025-26

Resumen con los conceptos más importantes de cada tema.

Capitulo-1.-Cinematica-del-punto..pdf
Capitulo-2.-Dinamica.pdf
Capitulo-3.-Sistemas-no-inerciales.pdf
Capitulo-4.-Momento-angular.-Leyes-de-Kepler.pdf

examenes

-

Ejercicios exámenes resueltos

He publicado nuevos examenes de 2º Física: Mecánica y Ondas: Ejercicios exámenes resueltos

Parcial-2223.pdf
Parcial-Tema-1.pdf
Parcial-Tema2.pdf

apuntes

-

Teoria Ada Canet

He publicado nuevos apuntes de 2º Física: Mecánica y Ondas: Teoria Ada Canet

Tema1-Cinematica-del-punto.pdf

apuntes

-

(F) Apuntes de clase 2025-26

Los temas 2, 3 y 4 no serán subidos por causas de fuerza mayor. Se subirán los correspondiente resúmenes donde aparecen todos los conceptos. Disculpen las molestias.

Tema-1.-Cinematica-del-punto.pdf
Anónimo

@Anónimo

ejercicios

-

Entregas física

He publicado nuevos ejercicios de 2º Física: Mecánica y Ondas: Entregas física

problemas1.pdf
problemas3.pdf
problemas4.pdf
problemas2.pdf
problemas5.pdf
problemas6.pdf
Anónimo

@Anónimo

examenes

-

Exámenes

He publicado nuevos examenes de 2º Física: Mecánica y Ondas: Exámenes

2021junio.pdf
ExamenFinalJunio2022.pdf
SolucionesEXAMENextraordinario22Junio.pdf
SolucionesEXAMENordinario8Mayo.pdf

He publicado nuevos apuntes de 2º Física: Mecánica y Ondas: Examen-2025-ordinaria-Antonio-Bru.pdf

1 página

apuntes

-

Apuntes por temas de Física

Apuntes por temas de la asignatura de física. Son una mezcla de los apuntes del profesor Alexandre Salas, el libro del Taylor y anotaciones, explicaciones y desarrollos de @bolzano_

Tema-5.-Mecanica-analitica.pdf
Tema-3.-Sistemas-de-referencia-inerciales-y-no-inerciales.pdf
Tema-1.-Mecanica-Newtoniana.pdf
Tema-2.-Osciladores-forzados-y-amortiguados.pdf
Tema-4.-Fuerzas-centrales-y-el-problema-de-los-dos-cuerposorganized.pdf

He publicado nuevos examenes de 2º Física: Mecánica y Ondas: Ejercicios-de-examenes-resueltos.pdf

9 páginas

Hoja actualizada. Gonzalo Barderas - M2

13 páginas

¿Alguien tiene ejercicios corregidos de otto rudwig enteros? Sería de gran ayuda.

Los temas 3 y 4 son los esquemas del final

12 páginas

apuntes

-

Apuntes Física

Basados en el libro de Taylor y en las clases de Alexandre Salas

APUNTES-FISICA-T3.pdf
APUNTES-FISICA-T2.pdf
APUNTES-FISICA-T4-Sin-Foucault.pdf
APUNTES-FISICA-T5.pdf
APUNTES-FISICA-T6.pdf

He publicado nuevos apuntes de 2º Física: Mecánica y Ondas: T6-F-Mecanica-analitica.pdf

7 páginas

apuntes

-

Esquemas

He publicado nuevos apuntes de 2º Física: Mecánica y Ondas: Esquemas

Esquema Introducción.pdf
Esquema Cinemática.pdf
Esquema Leyes de Newton.pdf
Esquema Trabajo y energía.pdf
Esquema Sistemas de partículas.pdf
Esquema Interacción gravitatoria y movimiento planetario.pdf

Mecánica analítica. Gonzalo Barderas - M2

15 páginas

Esquema tema 6. Gonzalo Barderas - M2

3 páginas

apuntes

-

Apuntes Completos

He publicado nuevos apuntes de 2º Física: Mecánica y Ondas: Apuntes Completos

Tema-1-Cinematica.pdf
Tema-2-Dinamica-de-una-particula.pdf
Tema-3-Momentos-angulares.-Leyes-de-conservacion.pdf
Tema-4-Sistemas-no-inerciales.-Fuerzas-ficticias.pdf
Tema-5-Sistemas-de-particulas.pdf
Tema-6-Rotacion-del-solido-rigido.pdf

ejercicios

-

EJERCICIOS RESUELTOS

He publicado nuevos ejercicios de 2º Física: Mecánica y Ondas: EJERCICIOS RESUELTOS

HOJA-1.pdf
HOJA-2.pdf
HOJA-3.pdf
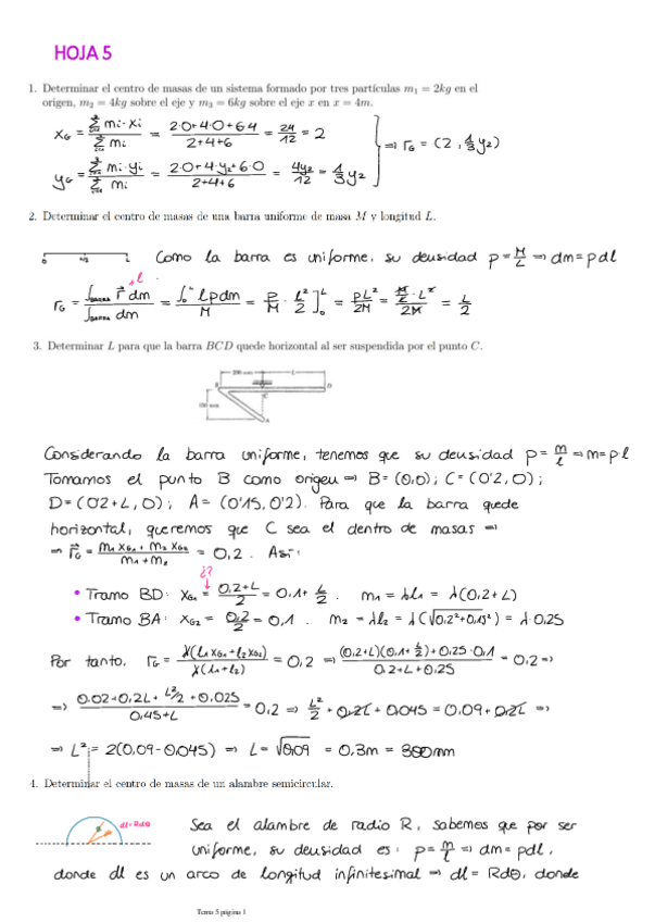
HOJA-5.pdf
HOJA-6.pdf
HOJA-7.pdf

ejercicios

-

EJERCICIOS RESUELTOS

He publicado nuevos ejercicios de 2º Física: Mecánica y Ondas: EJERCICIOS RESUELTOS

HOJA-1-RESUELTA.pdf
HOJA-2-RESUELTA.pdf
HOJA-3-RESUELTA.pdf
HOJA-4-RESUELTA.pdf
HOJA-5-RESUELTA.pdf
HOJA-7-RESUELTA-FISICA-MODERNA.pdf

Apuntes del tema 7. Gonzalo Barderas - M2

14 páginas

Tema 6. Gonzalo Barderas - M2

6 páginas

He publicado nuevos apuntes de 2º Física: Mecánica y Ondas: t5-F-Rot-solido-EcEuler.pdf

6 páginas

He publicado nuevos apuntes de 2º Física: Mecánica y Ondas: T4-F-Trabajo-y-energia.pdf

12 páginas

Tema 5. Marta Folgueira - M2

7 páginas

Tema 4. Marta Folgueira - M2

5 páginas

Tema 1. Fuensanta González - M2

5 páginas

Tema 3. Marta Folgueira - M2

6 páginas

Tema 2. Fuensanta González - M2

10 páginas

He publicado nuevos apuntes de 2º Física: Mecánica y Ondas: F-leyes-newton-t3.pdf

2 páginas

He publicado nuevos apuntes de 2º Física: Mecánica y Ondas: F-cinematica.pdf

5 páginas

He publicado nuevos apuntes de 2º Física: Mecánica y Ondas: f-intro.pdf

6 páginas

He publicado nuevos ejercicios de 2º Física: Mecánica y Ondas: Hoja-2-F.pdf

9 páginas

He publicado nuevos ejercicios de 2º Física: Mecánica y Ondas: Hoja-6-F.pdf

7 páginas

He publicado nuevos ejercicios de 2º Física: Mecánica y Ondas: Hoja-7-F.pdf

6 páginas

He publicado nuevos ejercicios de 2º Física: Mecánica y Ondas: Hoja-3-F.pdf

7 páginas

He publicado nuevos ejercicios de 2º Física: Mecánica y Ondas: Hoja-5-F.pdf

8 páginas

He publicado nuevos apuntes de 2º Física: Mecánica y Ondas: T7-Intro-A-La-Mecanica-Analitica.pdf

4 páginas

He publicado nuevos apuntes de 2º Física: Mecánica y Ondas: T8-Movimientos-Ondulatorio-Y-Oscilatorio..pdf

6 páginas

Enunciados

1 página

Resolución NO VERIFICADA

5 páginas

He publicado nuevos ejercicios de 2º Física: Mecánica y Ondas: Hoja-1-F.pdf

10 páginas

He publicado nuevos apuntes de 2º Física: Mecánica y Ondas: T6-Rotacion-Del-Solido-Rigido.pdf

7 páginas

He publicado nuevos apuntes de 2º Física: Mecánica y Ondas: T5-Sistemas-De-Particulas.pdf

7 páginas

He publicado nuevos apuntes de 2º Física: Mecánica y Ondas: T4-Sistemas-No-Inerciales.-Fuerzas-Ficticias.pdf

6 páginas

He publicado nuevos apuntes de 2º Física: Mecánica y Ondas: T3-Momento-Angular.-Leyes-De-Conservacion.pdf

8 páginas

He publicado nuevos apuntes de 2º Física: Mecánica y Ondas: T2-Dinamica-De-Una-Particula.pdf

7 páginas

He publicado nuevos apuntes de 2º Física: Mecánica y Ondas: T1-Cinematica.pdf

7 páginas
Anónimo

@Anónimo

He publicado nuevos apuntes de 2º Física: Mecánica y Ondas: Tema-5-Solido-rigido.pdf

3 páginas

He publicado nuevos apuntes de 2º Física: Mecánica y Ondas: T10ondas.pdf

14 páginas

He publicado nuevos apuntes de 2º Física: Mecánica y Ondas: T8interacciongravitatoria.pdf

6 páginas

He publicado nuevos apuntes de 2º Física: Mecánica y Ondas: T7rotacion.pdf

5 páginas

He publicado nuevos apuntes de 2º Física: Mecánica y Ondas: T6movimiento.pdf

7 páginas

He publicado nuevos apuntes de 2º Física: Mecánica y Ondas: T5trabajoyenergia.pdf

5 páginas

examenes

-

Examenes resueltos

Se irá actualizando xd

Mayo-2023-Carmen-Pastor.pdf
Junio-2021-Carmen-Pastor.pdf
Mayo-2022-Carmen-Pastor.pdf
Junio-2023-Carmen-Pastor.pdf
Mayo-2024.pdf

examenes

-

EXAMEN PARTE TEÓRICA

He publicado nuevos examenes de 2º Física: Mecánica y Ondas: EXAMEN PARTE TEÓRICA

Teoria.pdf

examenes

-

EXÁMENES

He publicado nuevos examenes de 2º Física: Mecánica y Ondas: EXÁMENES

Mayo-2022.pdf
Junio-2023.pdf
Junio-2022.pdf
Junio-2021.pdf

ejercicios

-

EJERCICIOS COMPLETOS

He publicado nuevos ejercicios de 2º Física: Mecánica y Ondas: EJERCICIOS COMPLETOS

Sistema-de-Particulas-Ejercicios.pdf
Gravitacional-Ejercicios.pdf
Dinamica-Ejercicios.pdf
Dinamica-de-Rotacion-Solido-Rigido-Ejercicios.pdf
Dinamica-Analitica.-Lagrangianos-Ejercicios.pdf
Cinematica-Ejercicios.pdf

apuntes

-

APUNTES POR TEMAS COMPLETOS

He publicado nuevos apuntes de 2º Física: Mecánica y Ondas: APUNTES POR TEMAS COMPLETOS

Tema-8-Campos-Centrales.-Interaccion-Gravitacional.pdf
Tema-7-Dinamica-Analitica.pdf
Tema-6-Dinamica-de-Rotacion-Solido-Rigido.pdf
Tema-5-Sistema-de-Particulas.pdf
Tema-4-Sistemas-de-Coordenadas-en-Movimiento.pdf
Tema-3-Dinamica.pdf