Portada
Asignatura
Grado en Física (UAB)
Física Quàntica II
Fecha de subida
04 mar 2023
Categoría
apuntes
Etiquetas
Ejercicios - Full-3.pdf
pdf
3 páginas
34
0
Ejercicios - Full-1.pdf
8 páginas
29
Ejercicios - Full-2-bis.pdf
14 páginas
31
Ejercicios - Full-1-tris.pdf
27
Ejercicios - Full-4.pdf
4 páginas
28
Ejercicios - Full-4-bis.pdf
6 páginas
26
Ejercicios - Full-3-bis.pdf
23
Ejercicios - Full-1-bis.pdf
5 páginas
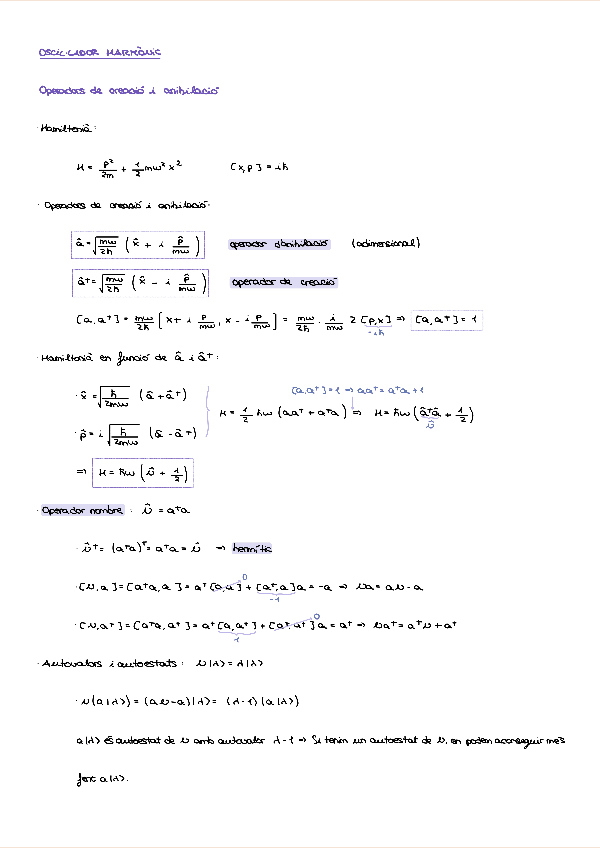
Apuntes - 1-Oscillador-Harmonic.pdf
11 páginas
13
Apuntes - 2-Moment-angular.pdf
10 páginas
14
Apuntes - 3-Funcions-dona-de-varies-components.pdf
12
Apuntes - 4-Sistemes-Compostos.pdf
15
Apuntes - 5-Metode-variacional.pdf
7 páginas
10
Apuntes - 6-Teoria-de-Pertorbacions.pdf