2apuntes
APUNTES
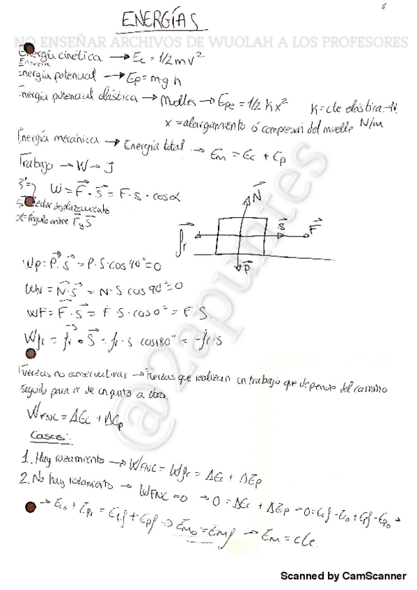
energias.pdf
2 páginas
Formulas-de-fisica.pdf
dinamica-de-rotacion.pdf
3 páginas
Cinematica-.pdf
Elasticidad.pdf
movimiento-circular-y-cantidad-de-movimiento.pdf
1 página
Dinamica-del-solido-rigido.pdf
4 páginas
centro-de-masas-.pdf
Exámenes - 2nExamenEDS.pdf
pdf
36
0
Apuntes - Apuntes-7-A-Campo-Electrico.pdf
15 páginas
18
Exámenes - CIOPEC2solucion2019-2020.pdf
24
2
Apuntes - Fisica-2o-BAXI.pdf
19 páginas
13
Apuntes - Apuntes-fisica-resumen-completo.pdf
16 páginas
Apuntes - tema-2.pdf
28
1
Apuntes - tema-3.pdf
25
Apuntes - Tema-1.pdf
27 páginas
12
Ejercicios - Tema-3-problemes-i-teoria.pdf
11 páginas
21
Ejercicios - 2.1.pdf
11
Exámenes - ENERGIA Y TRABAJO.pdf
8 páginas
Ejercicios - 2.3.pdf
Exámenes - 2PEC12.pdf
14
Exámenes - FORMULARIO FISICA PEC 1 Y 2.pdf
23
Apuntes - Formulas-de-fisica.pdf
Exámenes - PEC2-2.pdf
20
Exámenes - PEC2-1.pdf
17
Apuntes - Ejercicios-tipo-EXAMEN.pdf
7
Apuntes - Apuntes-7-B-Ley-de-Gauss-y-Potencial-Electrico.pdf
29 páginas
Apuntes - energias.pdf
9