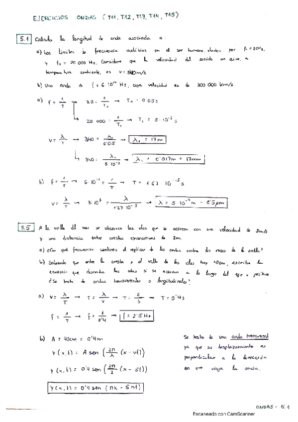
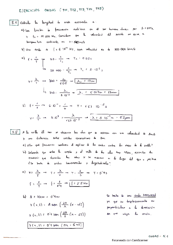
ejercicios-bloque-5-fisica.pdf
Portada
Asignatura
account_balance
Grado en Bioquímica y Ciencias Biomédicas (UV)
Fecha de subida
25 oct 2021
Categoría
ejercicios
Etiquetas
content_copy
Portada
Asignatura
Grado en Bioquímica y Ciencias Biomédicas (UV)
Fecha de subida
25 oct 2021
Categoría
ejercicios
Etiquetas