Solucion-relacion-5-paso-a-paso-2020-21-210203163558.pdf

zas

Ejercicios Resueltos por Profesor 2021

13 archivos·

Relacion-3-resuelta-paso-a-paso-2020-21-201215155547.pdf

24 páginas

Solucion-relacion-5-paso-a-paso-2020-21-210203163558.pdf

13 páginas

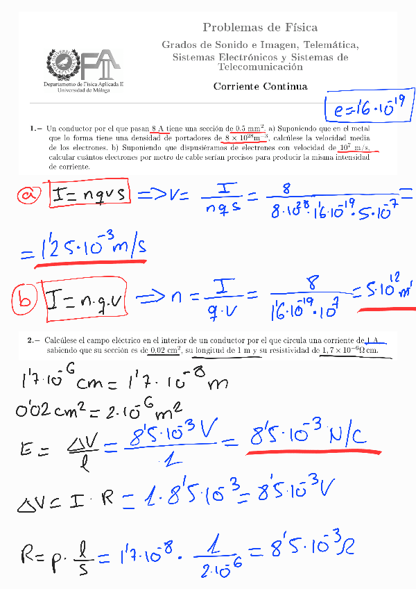
problemascorrientecontinua.pdf

3 páginas

Relacion-4-resuelta-paso-a-paso-2020-21-210202172105.pdf

23 páginas

Relacion-1-resuelta-paso-a-paso-2020-21201124145722.pdf

26 páginas

Relacion-2-resuelta-pasa-a-paso-2020-21201124140422.pdf

52 páginas

relondassonido.pdf

6 páginas

Solucion-Relacion-6.pdf

11 páginas

relacion-oscilaciones.pdf

3 páginas

problemasinduccion.pdf

5 páginas

Problemascondensadores.pdf

4 páginas

problemascampomagnetico.pdf

4 páginas

ProblemasCampoElectrostatico.pdf

3 páginas

content_copy

Archivos recomendados