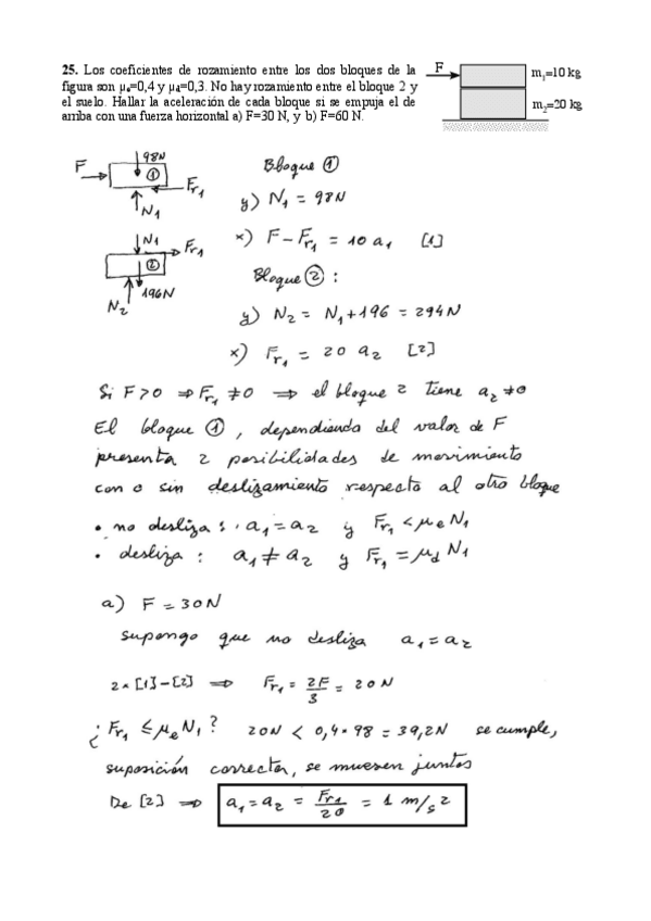
Codex_
Enunciado y solución
Mecanica-Problemas_24/25_25-26-27-28.pdf
6 páginas
Ejercicios - CuadernoFisica.pdf
pdf
52 páginas
40
2
Apuntes - Laboratoriofisica.pdf
10 páginas
32
3
Apuntes - Chuleta-fisica-Parte-1.pdf
2 páginas
17
0
Apuntes - 5.3-ElectMag-medios-dielectricos.pdf
23 páginas
18
Apuntes - 5.4-ElectMag-corrientes-electricas-estacionarias.pdf
45 páginas
13
Apuntes - Teoria-Mecanica.pdf
8 páginas
10
Apuntes - Ejercicios-termodinamica-Ferreno.pdf
6
Apuntes - Teoria-Termodinamica.pdf
5 páginas
7
Apuntes - Chuleta-electromagnetismo.pdf
1 página
9
Exámenes - Examen-Curso2425-Final2Solucion.pdf
Apuntes - CINEMATICA.pdf
12 páginas
12
Apuntes - DINAMICA.pdf
20 páginas
Apuntes - SOLUCIONES-MACAYA.pdf
30 páginas
Apuntes - DINAMICA-DE-FLUIDOS.pdf
9 páginas
Apuntes - Ejercicios-electricidad-y-magnetismo-Ferreno.pdf
Apuntes - ESTATICA-DE-FLUIDOS.pdf
Apuntes - MIS-SOLUCIONES-.pdf
11 páginas
Prácticas - P2_24/25-Oscilaciones.pdf
Ejercicios - Mecanica-Problemas_24/25_25-26-27-28.pdf
5
Ejercicios - Mecanica-Problemas_24/25_29-30-31-32-33-34.pdf
4