AYT_apuntes
Problemas resueltos
Pagina-sin-titulo-3.pdf
1 página
Pagina-sin-titulo-2.pdf
Problemas-clase-tema-2.pdf
Pagina-sin-titulo-1.pdf
Pagina-sin-titulo.pdf
Pagina-sin-titulo-4.pdf
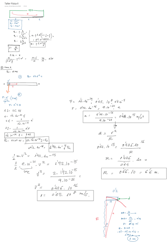
Taller-Fisica-II.pdf
Exámenes - E-17-18.pdf
pdf
2 páginas
1
0
Exámenes - magnetismo-17-18-1.pdf
Apuntes - Esquema-Tema-2-B.pdf
Apuntes - Esquema-Tema-2-A.pdf
Apuntes - Esquema-Tema-3-A.pdf
Apuntes - Esquema-Tema-5-Prop-magnetica-.pdf
Apuntes - Esquema-Tema-7-y-8-Ondas.pdf
Apuntes - Tema-1.pdf
3 páginas
Apuntes - Esquema-Tema-1.pdf
8 páginas
Apuntes - Resumenes.pdf
9 páginas
Exámenes - E-16-17-r.pdf
Exámenes - conductor-plano-17-18.pdf
Exámenes - maxwell-continuidad.pdf
Exámenes - onda-estacionaria-16-17-4.pdf
Exámenes - magnetismo-15-16-2.pdf
Exámenes - magnetismo-15-16-1.pdf
Exámenes - magnetismo-15-16-3.pdf
Apuntes - Tema-5.pdf
10 páginas
Ejercicios - Taller-Fisica-II.pdf
Apuntes - Tema-6.pdf
6 páginas